●
品书香
>
精品曲谱
>
民乐
>
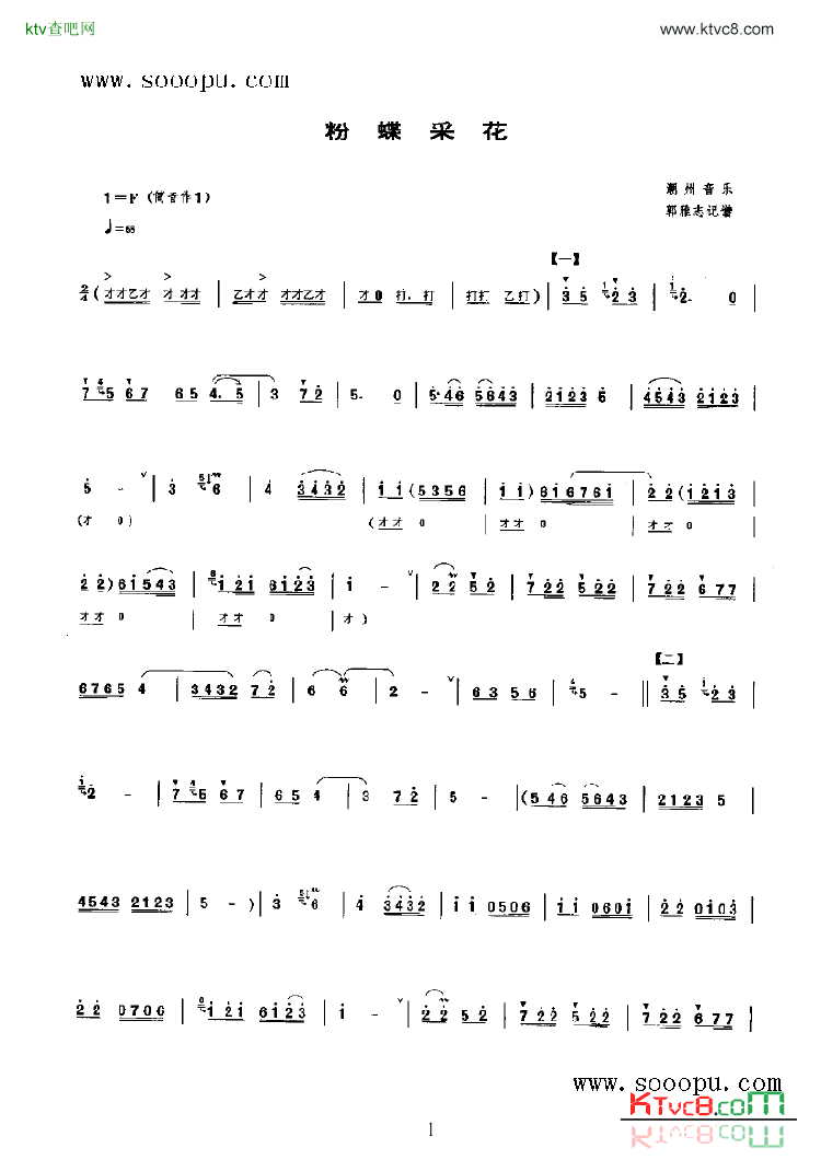
唢呐《粉蝶采花民乐类唢呐》
上一篇:
唢呐《云里摸民乐类唢呐》
下一篇:
唢呐《山坡羊第二版民乐类唢呐》
热点内容
·
葫芦丝《少年壮志不言愁》
·
二胡《梆子风》
·
埙《沉香泪》
·
芦笙《沂蒙新貌笙谱》
·
古琴《笑傲江湖》
·
二胡《欢乐歌》
·
葫芦丝《勐养江畔》
·
葫芦丝《叫一声我的哥》
·
阮琴《龙灯》
·
葫芦丝《在希望的田野上》