●
品书香
>
精品曲谱
>
声乐
>
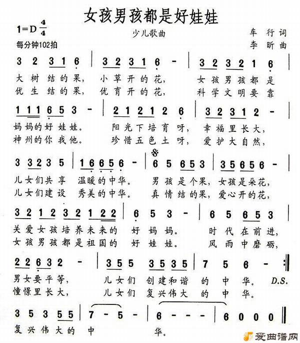
儿歌《女孩男孩都是好娃娃》
上一篇:
儿歌《太阳和月亮》
下一篇:
儿歌《青春飞翔》
热点内容
·
儿歌《点鼻子》
·
儿歌《天河》
·
儿歌《不要说我还是小孩》
·
通俗《只想让你抱抱我》
·
美声《35大海与高山》
·
外国《声乐教学曲库5-1遨游 》
·
民歌《老家岁月香》
·
民歌《飞渡长江》
·
民歌《飞天》
·
通俗《爱你的红玫瑰》