●
品书香
>
精品曲谱
>
戏曲
>
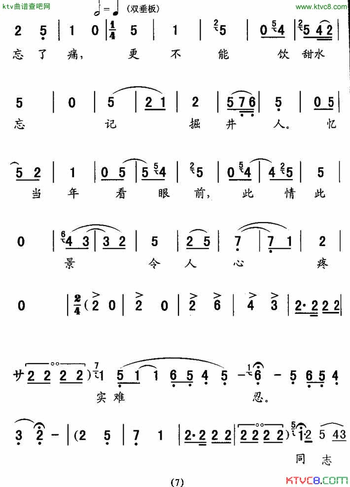
秦腔:[秦腔]为人类求解放奋斗终身《龙江颂》江水英唱段
上一篇:
秦腔:[秦腔]《山乡御妹》选段
下一篇:
秦腔:清风亭·盼子([秦腔])
热点内容
·
豫剧《青纱轿里坐着我七品官》
·
曲剧:丰圣命来巡查(曲剧《窦娥冤》选
·
黄梅戏《红楼梦》选曲:眉眼有些象林
·
鼓谱:[苏州弹词]林冲踏雪
·
闽剧:孟姜女曲牌:泪透
·
吕剧:洪湖水浪打浪柳琴分谱
·
京剧《半生中等闲看千魔百障》
·
二人转《小看戏》
·
戏谱:[常锡剧]《双推磨》1959年版选曲一
·
歌剧:小二黑结婚戏剧音乐五场歌剧301-