●
品书香
>
精品曲谱
>
戏曲
>
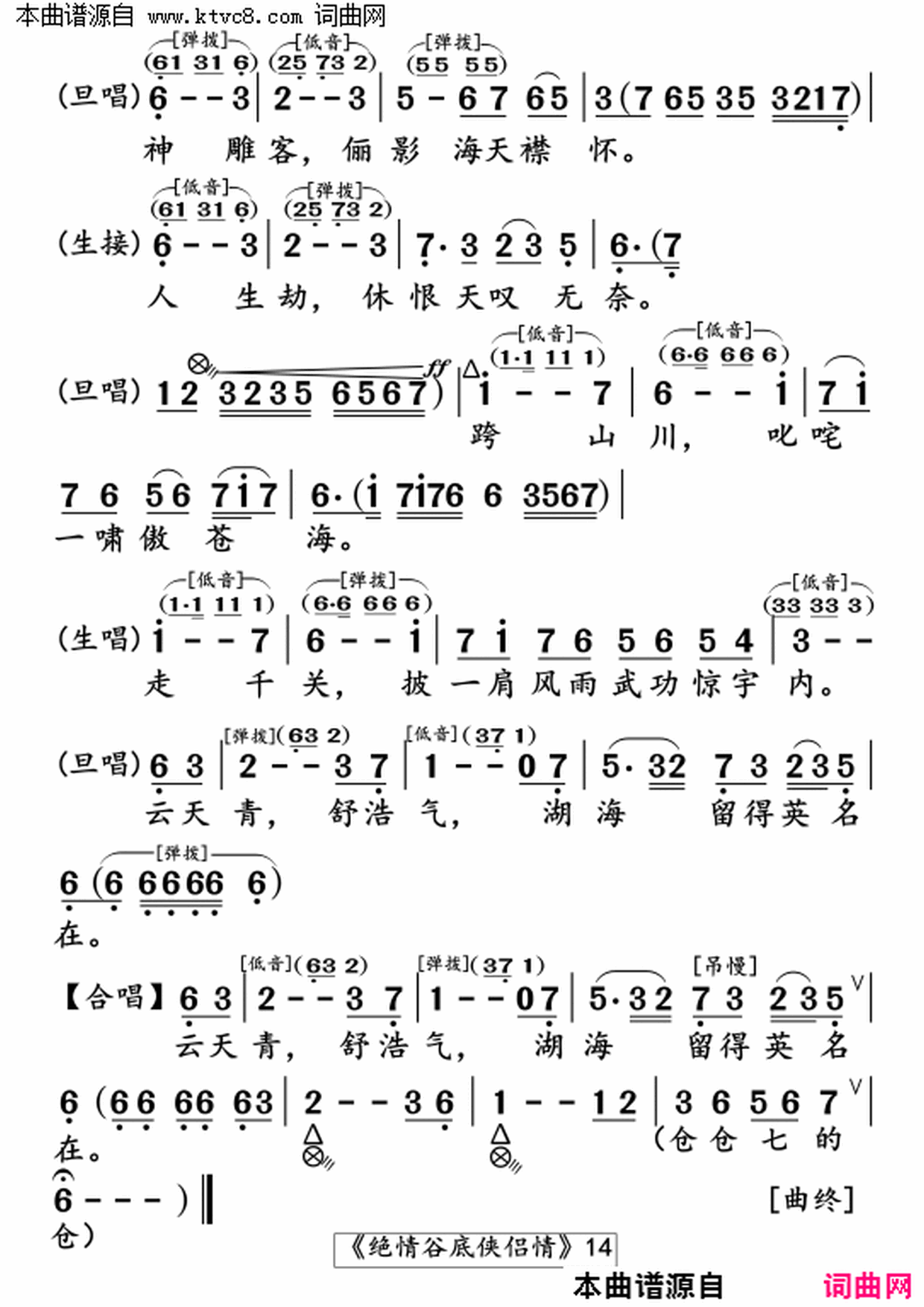
粤剧《绝情谷底侠侣情》
上一篇:
粤剧《金兰义烈叔嫂情》
下一篇:
粤剧《情赠茜香萝》
热点内容
·
黄梅戏《电影“天仙配”选曲:父王下旨
·
粤剧《[粤曲]百花争艳》
·
豫剧《老马我探亲回油田来》
·
评弹曲调:凝视着老父亲慈祥双眼(百姓
·
莆仙戏谱:孔词莆仙戏《状元与乞丐》选段
·
二人转《抱龙台—东北秧歌曲牌》
·
鼓谱:[湖北大鼓]三婿拜寿
·
京剧《祭坛》
·
锡剧:妈妈的阿里郎
·
粤剧《[粤曲]风雪夜归人》