●
品书香
>
精品曲谱
>
戏曲
>
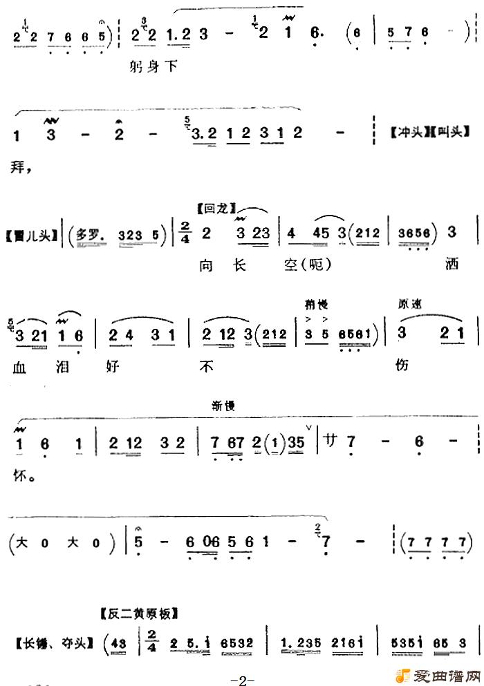
京剧《登层台望家乡躬身下拜》
上一篇:
京剧《游梅园禁不住心伤泪降》
下一篇:
京剧《怒恼杨延昭》
热点内容
·
评剧《手捧布兰心潮涌》
·
黄梅戏《她母女如遭雷击》
·
戏谱:[湖北大鼓]武松打虎
·
评弹曲调:孔雀东南飞——见婆婆面带怒
·
云南花灯戏谱:中国民族民间舞曲选六云南花
·
歌剧:歌剧《壮丽的婚礼》选曲6首
·
京剧《我主爷起义在芒砀》
·
鼓谱:[单弦]松月绕岔曲
·
莆仙戏谱:西汉5
·
二人台:打秋千(二人台)