●
品书香
>
精品曲谱
>
戏曲
>
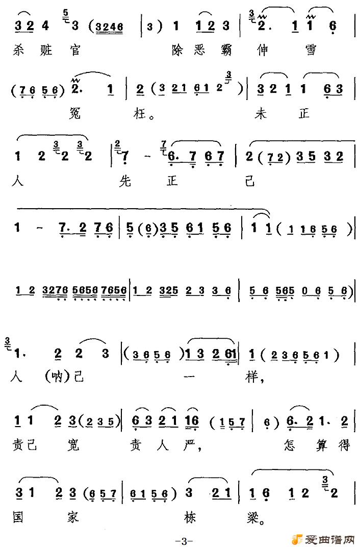
京剧《自幼儿蒙嫂娘训教抚养》
上一篇:
京剧《来到了长沙城将船泊碇》
下一篇:
京剧《皇恩浩调老臣龙庭独往》
热点内容
·
京剧《黑夜里马乏人困》
·
评剧《新凤霞唱腔选:降香》
·
歌剧:我在深深地爱着你第二幕歌剧《文
·
秦腔:[秦腔]登龙位主神器大业天授《梨
·
京剧《金乌坠玉兔升黄昏时候》
·
秦腔:[秦腔]每日里在深山去把柴砍《打
·
黄梅戏《含悲忍泪到阵前》
·
《烘房飘香》第二十三曲》
·
京剧《恨薛刚小奴才不如禽兽》
·
《老天爷下鹅毛如下钢刀》