●
品书香
>
精品曲谱
>
戏曲
>
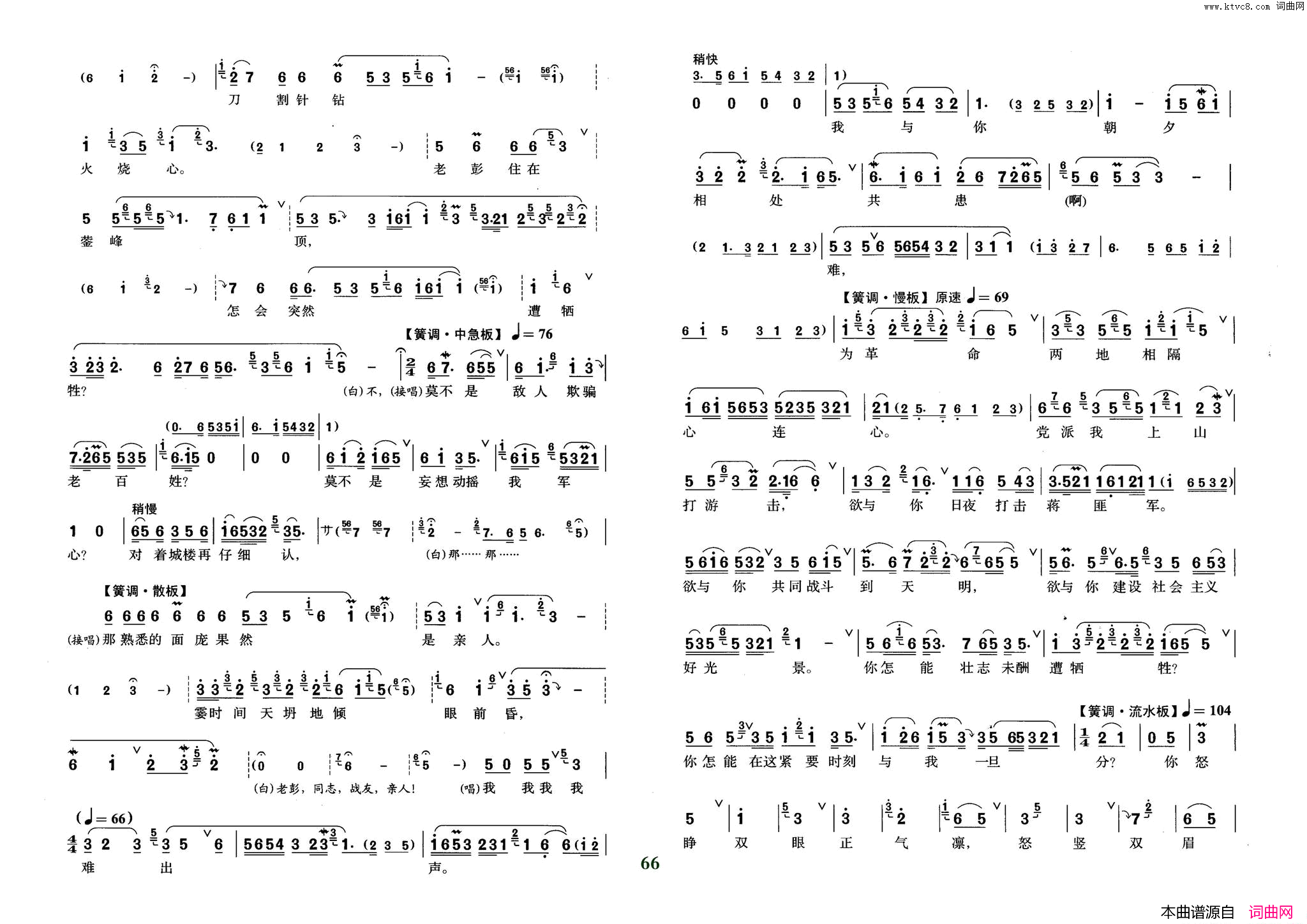
锡剧:锡剧《江姐》上山
红茶音乐声明:作品版权归 词作者无锡锡剧团 曲作者无锡锡剧团 演唱者梅兰珍 所有,未经同意,禁止转载使用!
上一篇:
锡剧:月色朦胧祭灵台( 锡剧《何文秀》选段 )
下一篇:
锡剧:朝霞映在阳澄湖上( 锡剧《沙家浜》选段 )
热点内容
·
豫剧《这几日老爹爹疾病好转》
·
越剧《[越剧曲调]西施浣纱》
·
越剧《常言道人不伤心不掉泪》
·
歌剧:两代人歌剧全剧151-200
·
歌剧:江姐歌剧曲谱全剧51-96
·
蒲剧:徐策跑城
·
《公主邂逅穷书生》
·
粤剧《悲歌大渡河(《悲歌大渡河》选段
·
评弹曲调:听此言气得我怒火万丈(楠竹
·
评剧《曾记得当年京口初相逢》