栏目导航:
品书香
> >>
歌谱简谱
>>
六字歌谱简谱
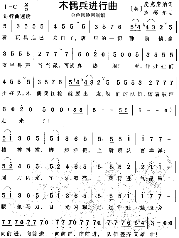
木偶兵进行曲(儿童歌)[简谱]
←
邂逅真是美丽[简谱]
→
情深深雨濛濛(同名电视剧片头曲)[简谱]
其他文章
·
娜鲁湾情歌[简谱]
46
·
金瓶似的小山[电子琴谱]
93
·
新年快乐[简谱]
250
·
村寨的吉他声[简谱]
252
·
若是你知道[简谱]
1604
·
放风筝(山西民歌)[二胡曲谱]
1617
·
西部赞歌[简谱]
414
·
春天的故事[合唱曲谱]
426
·
把一切献给党[其他曲谱]
471
·
勇敢[简谱]
535