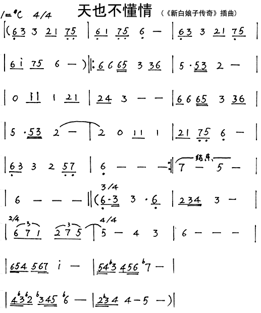
天也不懂情(《新白娘子传奇》插曲)

分类: 管子-萧

天也不懂情(《新白娘子传奇》插曲)
天也不懂情(《新白娘子传奇》插曲)