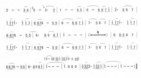
恰似你的温柔
我记录
情感空间
其他频道
萨克斯管
乐谱
简谱
分类:
萨克斯管
←
你怎么舍得我难过
→
紫红色的樱桃