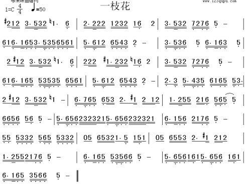
Ò»Ö¦»¨-¹ÅóÝÇúÆ×
Ò»Ö¦»¨
¹ÅóÝ
ÑïÇÙ
·ÖÀࣺ
¹ÅóÝ-ÑïÇÙ
¡û
ÐÒ¸£ÇþË®µ½°³´å
¡ú
ÂÒºì-³ÂÔÃ