品书香 > > 歌谱简谱>>流行歌曲>>T

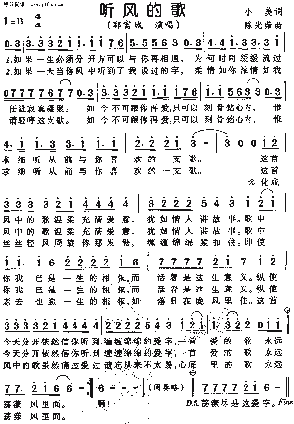
听风的歌听风的歌


点击图片放大
听风的歌听风的歌郭富城歌曲
听风的歌听风的歌听风的歌


听风的歌
 
听风的歌
郭富城
如果一生必须分开方可以与你再相遇
为何时间
缓缓流过
任让寂寞凝聚
如今不可跟你再爱只可以刻骨铭心内
唯求细听
从前与你
喜欢的一厥歌
这首风中的歌
温柔满带爱意
犹如情人讲故事
歌中你我已是一生的相依
而活着是这生意义
纵使今天分开
依然信你听到
缠缠绵绵的爱字
一首爱的歌
永远荡漾风里面
如果一天当你风中听到了我说过的字
柔情如你
浓情如我
请轻哼这厥歌
化身丝丝清风
周旋你那发鬓
缠缠绵绵紧扣住
即使老去
也愿一生的相依
如落日在晚风里住
这首风中的歌
虽然痛过爱过
遗忘从来不太易
心底里的歌
荡漾尽是这爱字