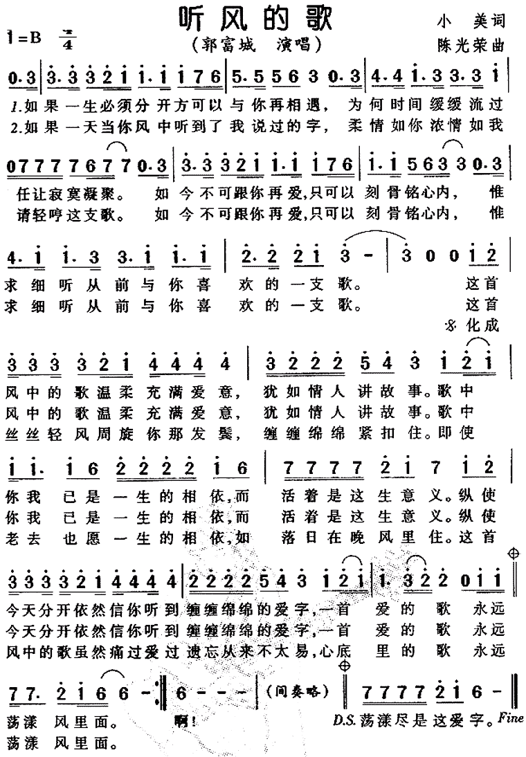
( 超宽图片点击可放大 )

郭富城 - 听风的歌歌词
作词:小美
作曲:陳光榮
如果一生必须分开 方可以与好再相遇
为何时间 缓缓流过 任让寂寞凝聚
如今不可跟你再爱 只可以刻骨铭心内
唯求细听 从前与你 喜欢的一阙歌
这首风中的歌温柔满带爱意
犹如情人讲故事
歌中你我已是一生的相依
而活着是这生意义
纵使今天分开依然信你听到
缠缠绵绵的爱字
一首爱的歌 永远荡漾风里面
如果一天当你风中 听到了我说过的字
柔情如你 浓情如我 请轻哼这阙歌
如今不可跟你再爱 只可以刻骨铭心内
唯求细听 从前与你 喜欢的一阙歌
这首风中的歌温柔满带爱意
犹如情人讲故事
歌中你我已是一生的相依
而活着是这生意义
纵使今天分开依然信你听到
缠缠绵绵的爱字
一首爱的歌 永远荡漾风里面
化身丝丝清风周旋你那发鬓
缠缠绵绵紧扣住
即使老去也愿一生的相依
如落日在晚风里住
这首风中的歌虽然痛过爱过
遗忘从来不太易心底里的歌
荡漾尽是这爱字