一枝花 曲目介绍
一枝花是由古代曲子所改编而成的古筝曲子。
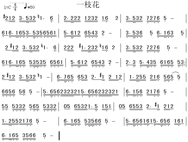
下面是为专门您整理好的:一枝花古筝谱。希望您会满意。
一枝花古筝谱

一枝花 歌词
年深马骨高,尘惨貂裘敝。
夜长鸳梦短,天阔雁书迟。
急觅归期,不索寻名利。
归心紧归去疾,恨不得袅断鞭梢,
岂避千山万水!
一枝花(张养浩)
用尽我为国为民心,
祈下些值金值玉雨,
数年空盼望,
一旦遂沾濡,
唤省焦枯,
喜万象春如故,
恨流民尚在途,
留不住都弃业抛家,
当不的也离乡背土。
[梁州]恨不得把野草翻腾做菽粟,
澄河沙都变化做金珠。
直使千门万户家豪富,
我也不枉了受天禄⑦。
眼觑着灾伤教我没是处,
只落得雪满头颅。
[尾声]青天多谢相扶助,
赤子从今罢叹吁⑩。
只愿得三日霖霪不停住,
便下当街上似五湖,
都渰了九衢⑿,
犹自洗不尽从前受过的苦⒀。