那一年 曲目介绍
《那一年》是许巍作曲作词并演唱的歌曲,收录到同名专辑《那一年》中。
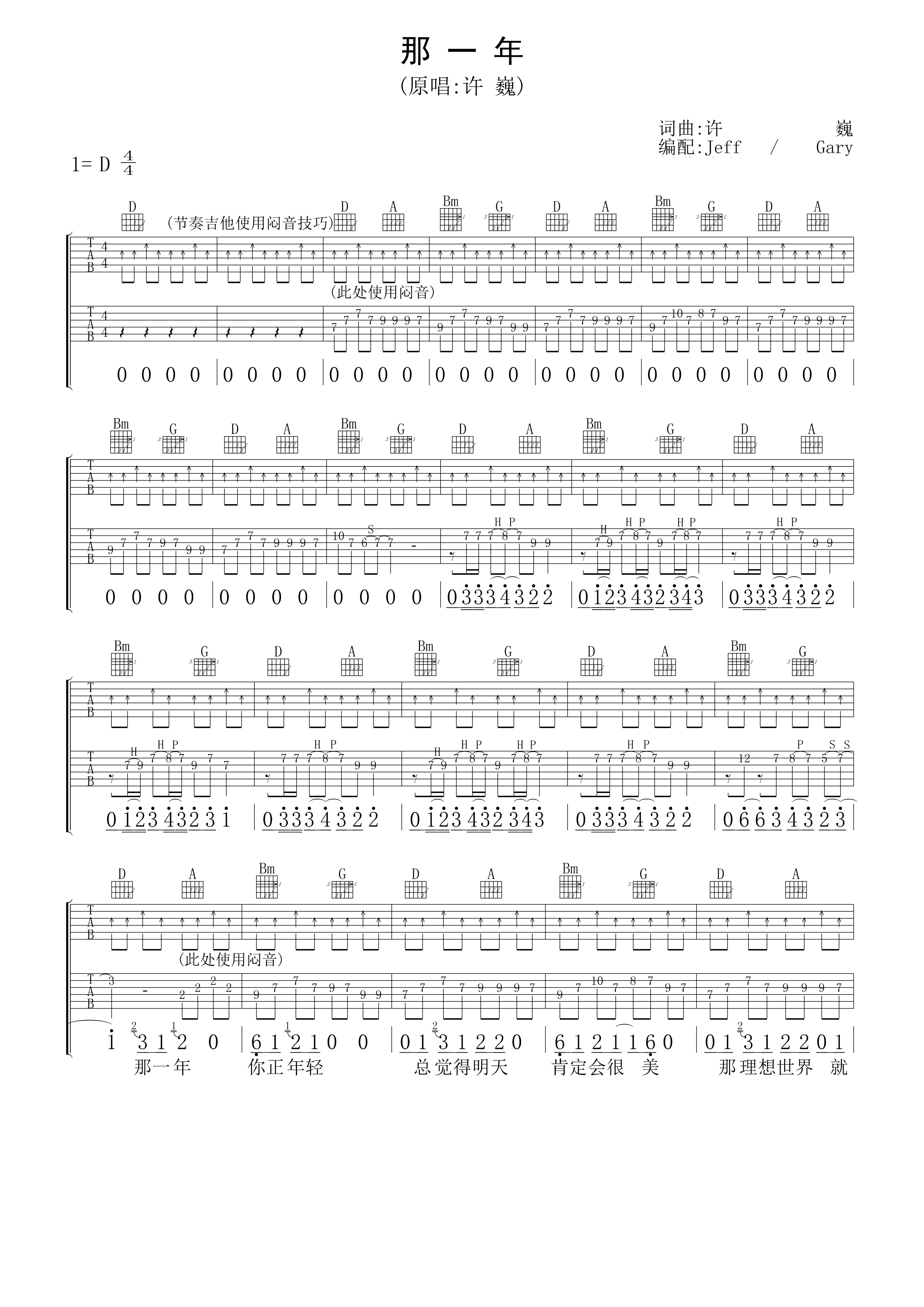
下面是为专门您整理好的:那一年吉他谱 双吉他版 许巍。希望您会满意。
那一年吉他谱 双吉他版 许巍




那一年 歌手介绍
许巍,1968年7月21日出生于陕西省西安市,中国内地摇滚音乐歌手。
1995年许巍作词作曲的《执着》由田震演唱而广为流传。1997年4月红星生产社发行许巍首张专辑《在别处》。1998年作品被选入中国当代诗歌文选。2000年11月发行第二张专辑《那一年》。2002年发行第三张专辑《时光·漫步》,凭借专辑获得第3届音乐风云榜最佳摇滚专辑、最佳摇滚歌手奖,歌曲《礼物》获得最佳摇滚单曲、内地年度十大金曲奖。2010年在蒙牛酸酸乳音乐风云榜十年盛典上被组委会授予“中国十年最具影响力音乐人物”的荣誉。2013年1月29日许巍签约歌华莱恩,十城巡演正式启动。2015年推出单曲《第三极》《灿烂》。2015年12月31日,许巍携乐队参加浙江卫视“奔跑吧2016”跨年演唱会,分别演唱曲目《曾经的你》《第三极》《蓝莲花》。
那一年 歌词
那一年 - 许巍
那一年 你正年轻
总觉得明天肯定会很美
那理想世界 就像一道光芒
在你心里闪耀着
怎能就让这不停燃烧的心
就这样耗尽消失在平庸里
你决定上路 就离开这城市
离开你深爱多年的姑娘
这么多年 你还在不停奔跑
眼看着明天依然虚无飘渺
在生存面前那纯洁的理想
原来是那么脆弱不堪
你站在这繁华的街上
找不到你该去的方向
你站在这繁华的街上
感觉到从来没有的慌张
你站在这繁华的街上
找不到你该去的方向
你站在这繁华的街上
感觉到从来没有的慌张
你曾拥有一些英雄的梦想
好像黑夜里面温暖的灯光
怎能没有了希望的力量
只能够挺身永往直前
你走在这繁华的街上
在寻找你该去的方向
你走在这繁华的街上
在寻找你曾拥有的力量
那一年 出版背景
许巍的《那一年》出版,许巍对这张唱片的推出非常气愤,认为在自己没有参与后期制作的情况下,不经歌手本人同意就出版唱片极不负责。而这张唱片也没有做什么宣传,这又是一张被忽视的许巍作品。