|
【摘 要】 本文作者在深入研究全球定位系统(GPS)静态定位原理的基础上,结合多年生产实践经验,就城市GPS控制网的布网原则、等级划分、作业方法及成果整理要求进行了探讨。通过全面质量控制以确保城市GPS控制网测量成果符合现行测量规范的要求。 【关键词】 GPS 基线向量 约束平差
全球定位系统(Global Positioning System,缩写GPS)是美国第二代卫星导航定位系统。该系统以其全能性(陆地、海洋、航空和航天)、全球性、全天候、连续性和实时性的导航定位功能,已被广泛地应用于各种等级精度的城市控制测量中。如何对城市GPS控制网施测进行有效的质量监控,将会直接影响到成果的测量精度。为此,笔者结合多年的生产实践经验,就如何有效保证城市GPS控制网测量精度制定了一套质量控制措施,以供城市测量GPS用户参考。 一、技术标准 ※ 中华人民共和国国家标准《全球定位系统(GPS)测量规范》GB/T 18314-2001 ※ 中华人民共和国行业标准《全球定位系统城市测量技术规范》CJJ 73-97 ※ 中华人民共和国测绘行业标准《全球定位系统(GPS)测量型接收机检定规程》CH 8016-95 ※ 中华人民共和国测绘行业标准《测绘产品检查验收规定》CH 1002-95 二、专业技术设计 (一)等级划分 根据《全球定位系统(GPS)测量规范》和《全球定位系统城市测量技术规程》中规定的城市各级GPS控制网相邻点间平均距离,要求在城市GPS控制网布设时,其相邻点间平均距离应符合表1要求。同时,允许相邻点的最小距离可为平均距离的1/3~1/2,最大距离可为平均距离的2~3倍。考虑到南方地区丘陵、山地地形复杂,因此,在南方地区布设C级GPS控制网时,其平均边长限制可根据实际情况适当放宽到20~25公里,同时规定边长超过25公里的同步环应增测一个时段,以确保GPS测量数据的质量。
城市各级GPS控制网平均边长 表1(单位:km)
|
等级 |
C |
D |
E |
一级 |
二级 |
|
平均距离 |
10~15 |
5~10 |
2~5 |
1 |
〈1 |
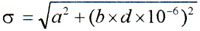
(二)精度设计 根据GPS控制网相邻点间基线长度精度计算公式:

式中:σ为标准差,单位mm; d为相邻点间距离,单位mm。 计算得到各级GPS控制网最弱边相对中误差限差,同时规定了观测相应等级GPS控制网时所选GPS接收机标称精度不应低于表2的要求。布设一级、二级GPS控制网时,由于边长通常都较短,如用最弱边相对中误差来评定控制网精度则很难达到要求,因此,《全球定位系统城市测量技术规程》中规定了当边长小于200米时,则以其边长中误差应小于20毫米为限差要求。
城市各级GPS控制网最弱边相对中误差 表2
|
等级 |
固定误差a |
比例误差b |
最弱边相对中误差 |
|
C |
10 |
5 |
1/120000 |
|
D |
10 |
10 |
1/80000 |
|
E |
10 |
20 |
1/45000 |
|
一级 |
10 |
20 |
1/20000 |
|
二级 |
15 |
20 |
1/10000 |
(三)编写技术设计书 根据测量任务需要,收集测区范围既有的测量资料、有关地形图、交通图、测区总体建设规划和近期发展方面资料,进行资料分析研究,必要时进行实地勘察,按照最优化原则进行室内图上设计。同时,根据控制网的精度设计要求编写技术设计书,技术设计书应包含如下内容: ※ 项目来源:介绍项目的来源、性质。 ※ 测区概况:介绍测区的地理位置、气候、人文、经济发展状况、交通条件、通讯条件等。 ※ 工程概况:介绍工程目的、作用、要求、等级(精度)、完成时间等。 ※ 技术依据:介绍作业所依据的测量规范、工程规范、行业标准等。 ※ 施测方案:介绍测量所采用的仪器、采取的布网方法等。 ※ 作业要求:介绍外业观测时的具体操作规程、技术要求等,包括仪器参数的设置(如采样率、截止高度角等)、对中精度、整平精度、天线高的量测方法及精度要求等。 ※ 观测质量控制:介绍外业观测的质量要求,包括质量控制方法及各项限差要求等。 ※ 数据处理方案:说明详细的数据处理方案,包括基线解算方法、网平差处理方法等。 技术设计书经过总工程师审批后即生效,后续所有工作都必须按照技术设计书设计的要求进行生产实施。 三、外业施测 (一)选点埋石 GPS控制网点位选择应符合技术设计的要求,点位基础坚实稳定、易于长期保存、方便观测,视野开阔、交通方便,并应远离大功率无线电发射源。利用旧点时,应检查旧点的稳定性、可靠性和完好性,符合技术设计要求的方可使用。 城市各级GPS控制网可参照下图所示选用相应的标石类型。如C级、D级、E级选用Ⅰ类、Ⅱ类、Ⅲ类,一级、二级选用Ⅳ类。埋石时,各层标志中心严格在同一铅垂线上,其偏差不得大于2毫米。强制对中装置的对中精度不得大于1毫米。
选点、埋石结束后应绘制GPS点之记和GPS控制网选点图。如点位周围有高于10°障碍物时应绘制该点的点位环视图。 [1] [2] 下一页 |