一、放大倍数
式中Au1、Au2…Aun :多级放大电路各级的电压放大倍数。
Au(dB)= Au1(dB)+ Au2(dB)+ …+ Aun(dB) GS0228
二、输入电阻和偷出电阻
多级放大电路的输入电阻就是第一级放大电路的输入电阻,其输出电阻就是最后一级放大电路的输出电阻。有时第一级的输入电阻也可能与第二级电路有关,最后一级的输出电阻也可能与前一级电路有关,这就取决于具体电路结构。
例题 三级放大电路如图Z0225所示。计算该电路的Au 、ri 、ro 。

解:(1)电压放大倍数
按前述分析方法将三级放大电路划分为3个单级放大电路,如图Z0226所示。
由上图可见,第一级电路和第三级电路为共集电极放大电路,其电压放大倍数为:Au1=Au3≈1,第二级电路为共射极放大电路,它的电压放大倍数为
Au2 = - β(RC2∥ri3)/rbe2
总电压放大倍数为: Au=Au1·Au2·Au3≈
(2)输入电阻
第一级电路为射极输出器,它的输入电阻为:
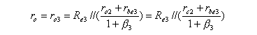
(3)输出电阻
第三级电路为射极输出放大电路则:

由上例可以看出,分析多级放大电路的关键在于正确地划分出各单级放大电路。