用信号去控制高频载波的、使载波的振幅按调制信号的规律变化,便可得到调幅波。这一过程中,载波、调制波和已调波的波形如图Z0901(补图) 所示。由图可见,连接已调波幅值各点所形成的包络线,反映了调制波的特点。显然,已调波已经不是纯粹的正弦波了,这表明已调波的获得是一个变换过程,只有通过非线性元件才能实现。

图Z0902是调幅的原理,它由非线性器件和谐振频率为ω0的LC并联谐振回路组成。uC为载波,um为调制电压。由于二极管的伏安特性可以近似地用一个n次多项式来表示,即:io =a0+a1u+a2u2+a3u3+…,系数a0、a1、a2、a3等的大小和符号取决于二极管伏安特性的特点。而该多项式的项数取决于信号u的大小和对分析结果所要求的精确度,信号愈大或者所要求的精确度愈高,所取的项数就应愈多。通常,取前三项就足以反映出二极管的非线形特点,即:
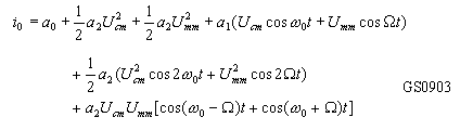
io = u+a1u +a2u2 (式中iO即iD) GS0901
若:uC = Ucmcosω0tum = UmmcosΩt
则作用于电路的总电压u(即ua)为:
u = uC + um= Ucmcosω0t + UmmcosΩt
代入式GS0901可得:
io = a0+a1(Ucmcosω0t+ UmmcosΩt)+a2(Ucmcosω0t+UmmcosΩt)2 GS0902
将GS0902式展开,可得:
显然,当ω0 >>Ω 时,只有ω0 及ω0±Ω这三种频率的信号才能在固有频率为ω0的LC并联谐振回路上产生较大的压降,于是LC回路两端的电压为:

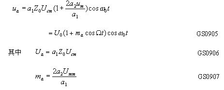
式中Z0表示谐振回路的谐振。利用三角函数关系式不难将式GS0904变换为:

式GS0905就是已调波的数学表达式它表明已调波的振幅为 ,是按调制波 
的特点而变化的,已调波的重复频率等于载波频率ω0,ma称为调幅系数,又叫调幅度。由式GS0907可知,它与调制电压的幅度成正比,是一个反映调幅程度的量。其值由图Z0903所示的调幅波的波形图可以求出:


在实际情况中,总是0<ma≤1。ma = 1称为最大调制。若 ma>1,Uamin必为负值,称为过调制,这时调幅波的幅度在一段时间内变为零,其幅度的包络线不再与调制波形成线性关系,出现严重。最大调制与过调制的波形如图Z0903所示,所以应尽量避免过调制,如果ma = 0,则为无调制情况。