| |
![]() | |
|
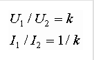
一.变压器的工作原理 变压器的基本原理是电磁感应原理,现以单相双绕组变压器为例说明其基本工作原理(如上图):当一次侧绕组上加上电压Ú1时,流过电流Í1,在铁芯中就产生交变磁通Ø1,这些磁通称为主磁通,在它作用下,两侧绕组分别感应电势É1,É2,感应电势公式为:E=4.44fNØm |
三、变压器的类型
| |
| 一、变压器分类及用途 | |
|
|
电力变压器:传输电能的升压变压器/降压变压器/配电变压器等。 |
|
| |
|
|
电炉变压器(专用)
给电炉(如炼钢炉)供电。 电焊变压器(专用) 给电焊机供电。 |
|
|
整流变压器(专用):
给直流电力机车供电。
|
|
仪用变压器:用在测量设备中。 | |
|
电子变压器:用在电子线路中。 | |
| 二、变压器的工作原理 | |
|
|
(1)原理图
|
|
| |
(2)工作原理
e1=-N1dФ/dte2=-N2dФ/dt
| |
|
5-2 变压器的类型和结构 | |
1、类型
| |
|
| |
2、结构(电力变压器)
(1)铁心
(2)绕组
(3)油/油箱/冷却/安全装置
| |
|
|
|
| |
|
| |
|
5-3 变压器的额定值 (1)额定电压U1N/U2N
(2)额定容量SN
(3)额定电流I1N/I2N
I1N=SN/[sqrt(3)U1N] I2N=SN/[sqrt(3)U2N] (3)额定频率fN
此外,铭牌上还会给出三相联接组以及相数m/阻抗电压Uk/型号/运行方式/冷却方式/重量等数据。 |


















