目前应用最广泛的是检波器,因为它具有线路简单,大信号输入时非线性小等优点。根据调幅信号的大小,可分为大信号直线性检波和小信号平方律检波两种方式。
当检波器的输入调幅信号幅度较小(≤0.2V时的检波称为小信号平方律检波。其特点是二极管运用在伏安特性曲线的弯曲部分,而且在整个信号内二极管总是导通的。小信号平方律检波的原理如图Z0909所示,图中D是检波二极管,C2RL是检波负载,E为外加直流偏压,以提高二极管D的工作点Q的位置。ua是调幅信号,其包络线的最大幅度小于E 。
显然,在这一输入信号作用下,流过二极管的波形是失真的如图Z0910所示。
这一失真波形中包含有低频电流im(iΩ),如图中实线(平均电流)所示,它的形状与输入已调波ua的包络线形状基本一致,因此,用C2将高频成份滤掉后,负载R上就得到了低频信号u0。
从频谱变换的角度来分析上述检波过程,二极管在工作点Q附近的电压、电流仍有式GS0901的关系。
设输入调幅电压为:
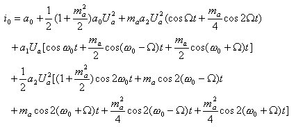
将ua代入式GS0901经整理,得:

上式表明,检波电流i0中包含有直流分量、低频分量(Ω和2Ω)及高频分量(ω0、ω0±Ω、2ω0和2ω0±2Ω)。当通过滤波电容和隔直电容去掉高频和直流分量后,检出低频分量为:
由上式可知,检波的低频分量的幅度
检出的低频分量中还有二次谐波2Ω而且无法滤掉,所以,这种检波有较大的非线性失真。
二极管小信号平方律检波由于失真大,效率低,小等缺点,所以在现代通讯和广播接收机中已很少使用。但因它具有线路简单,能对很小的信号检波,以及检波输出电流与输入载波电压幅度的平方(即与输入信号的功率)成正比等优点,因而,在无线电测量仪表中得到较为广泛的应用。