实现鉴频的称为鉴频器,也叫检波器。常用的鉴频电路有比例鉴频电路和鉴频电路,它们的工作原理相同,都是先把等幅的调频波变换成幅度按调制信号规律变化的调频调幅波,然后,用检波器把幅度的变化检出来,得到原来的调制信号,这一过程如图Z0919所示。实际电路中应用较多的是比例鉴频电路,比例鉴频电路有对称式和不对称式两种。
对称式比例鉴频电路如图Z0920(a)所示,它由两部分组成。第一部分由线圈L11、L2、L12、L3及C1、C2组成,它把调频信号的频率变化转换成两个之间的的变化;第二部分由D1、C3、R3和D2、C4、R4组成平衡式振幅检波电路,它把两个电压之间的相位差的变化变换为幅度的变化,并从中检出原来的调制信号。
电路中,C1、L11、L12和L2,C2组成双回路,均谐振于载波频率f0(fC),D1、D2为检波,R3、C3和R4、C4是它们的。要求电路对称即D1,D2的特性相同,R3=R4,C3 = C4。两只二极管顺向相接,与R3、R4和L2形成直流通路。CW容量较大(>10μF),有稳幅作用。
1.频幅转换过程图 Z0920(a)中,L12与L3为强耦合,L3产生的电压
由于(1)当f = f0,即调频信号
(2)当f > f0,即调频信号U1的频率f大于中心频率时,(3)当f < f0时,即调频信号
由此可见,调频信号的频率偏移(±△f)通过鉴频器的谐振回路,转换为
2.检波过程当次级回路的调频信号使D1、D2导通时,D1的检波电流经C3→L3回到L2的上半段;D2的检波电流由L2的中点→L3→C4→D2,回到L2的下半段,分别给C3、C4充上同向电压
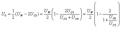
因为R3=R4,检波电路的直流通路建立的UR3=UR4=UW/2,检波电路的输出电压:
U0 = UPD = -UC3 + UC4 =
UC3,UC4分别是
所以,检波输出调制电压(如用于伴音时,调制电压为音频电压)也有下列情况:
(1)当 f = fO时,|
(2)当 f > fO时,(即f。+ △f );|
(3)当 f < fO时,(即f。- △f),|
这就完成了检波过程。
以上分析可知,鉴频电路当输入调频信号时,输出电压在一定范围内输出正或负的电
压,且输出电压Uo在一定范围内与频偏△f成正比。当超出这个范围,则LC回路失谐,Uo反而跌落。根据这一特点,可画出如图Z0923所示的鉴频器输出电压与输入信号的频偏变化的关系曲线,称为鉴频特性曲线。
将

上式可见,Uo不取决于UC3 、UC4本身的大小,而是取决于它们的比值,故称它为比例鉴频器。因此,当输入信号的振幅变化时,UC3 、UC4也同比例变化,只要UW及UC3 与UC4的比值不变,其输出电压就保持不变。由于CW容量很大,其充电电压相当稳定,使输出电压不受寄生调幅的影响,故此鉴频电路还有限幅作用。
在实际的鉴频电路中,往往给D1,D2串接如图Z0920(a)中所示的均衡R1、R2以调节两检波电路的性能,使之易于对称。