不匹配时,发射机发射的电波将有一部分反射回来,在馈线中产生反射波,反射波到达发射机,最终产生为热量消耗掉。接收时,也会因为不匹配,造成接收信号不好。
如下图,前进波(发射波)与反射波以相反方向进行。
![]() |
完全匹配,将不产生反射波,这样,在馈线里各点的是恒定的,如下图中左部分(a),不匹配时,在馈线里产生下图右方的电压波形,这驻留在馈线里的电压波形就叫做驻波。
![]() |
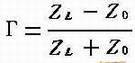
驻波比(SWR)的S值的计算公式为下图:
![]() |
当然还有其它的驻波比计算方法,不过计算结果是一样的。
驻波比越高,表示阻抗越不匹配,业余玩家,做到驻波比小于1.5就算可以了。
最后提醒一点,天线的好坏不能单看驻波比,现在大家如此迷信驻波比的原因很简单,就是因为驻波表好便宜、好买。不要因为天线驻波比很低就觉得一切OK,多研究天线的其它特性(如方向性)才是真正的乐趣。
![]() |



