实际运放的Ad不是无穷大,而是有限值,实际运放和理想运放存在误差,“虚地点”要移动。下面分析运放的其他条件均为理想条件,只有Ad不理想即Ad为有限值时的情况。
当Ad为有限值时,集成运放的输出为

而理想运放的U_-U+=0,所以实际集成运放的“虚地点”要产生移动。图等效于在实际运放里面套有一个理想运放,
式(1-5-6)表明,实际运放的虚地点不在M点,而是移动到Ⅳ点。所以,当Ad为有限值时分析运放 ,要用图所示的运放电路。

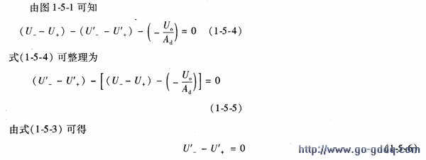
实际运放的Ad不是无穷大,而是有限值,实际运放和理想运放存在误差,“虚地点”要移动。下面分析运放的其他条件均为理想条件,只有Ad不理想即Ad为有限值时的情况。
当Ad为有限值时,集成运放的输出为

而理想运放的U_-U+=0,所以实际集成运放的“虚地点”要产生移动。图等效于在实际运放里面套有一个理想运放,
式(1-5-6)表明,实际运放的虚地点不在M点,而是移动到Ⅳ点。所以,当Ad为有限值时分析运放 ,要用图所示的运放电路。
