1.运算放大器的等效负反馈模型
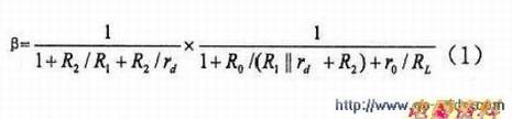
分析图1所示的放大器,这是一个典型的负反馈系统,将它等效成图2所示的负反馈电路的基本结构。其中α为该放大器的前向增益,称为该运算放大器电路的开环增益。β为该反馈网络的增益,称为该运算放大器电路的反馈系数。为了求出B,除去全部输入源,切断运算放大器并用它的输入rd和输出r0代替,以保持相同的状况。然后,经由r0外加一个测试源vT,如图3所示,求出跨在rd上的差值vD,则

该式容易整理成

现在来分析图2的负反馈系统。根据控制理论知识可得该系统的闭环增益


将式(1)代入式(3),并令rd→∞ ,r0→0得到理想情况 Aideal=(R1+R2)/R1 这与用理想模型得出的结果是一致的。 对于运算放大器电路,可以用同样的方法求得反馈系数,并建立其负反馈电路模型(该模型与同相电路是不同的,因为输入是加在同一个电路的不同点上),从而得出A和Aideal的值。