D类放大器本质上属于一类开关或。目前有很多种,本文主要介绍以下几类功率放大器:
A 类-------A类放大器在整个内都处在导通状态,换言之,总有偏置流过输出器件。这种结构的最小,基本是线形的,但效率也最低,约为20%。这种设计很典型,不需要高/低端输出器件补偿。
B类-------这类和A类功率放大器刚好相反。其输出器件仅只导通半个正弦波的周期(一个导通正半周,另一个导通负半周),换言之,如果没有输入信号,输出器件就不会有电流流过。这类功放的效率很明显地要优越于A类,大约在5 0% ,但它存在交越失真等非线性问题,主要是因为开启和关闭其它器件需要花费时间。
A B类-------AB类放大器结合了上述两种放大器的优点,也是目前普遍采用的的一类功率放大器。其所用的两个器件可以同时导通,但在交越点仅有导通较短时间。因此每个器件导通时间多于半个周期,但又少于整个周期,克服了B类放大器的非线性失真问题和A类放大器效率低的缺点。A B类放大器的效率可达到50%。
D类-------上文有提到D类放大器是一种开关或PWM功放。我们将重点说明这类功放,在这种功放中,器件要么完全导通, 要么完全关闭,大幅度减少了输出器件的功耗。效率可高达90~9 5%。音频信号用来PWM载波信号和驱动输出器件,最后一级为用于过滤高频PWM载波以分离出音频信号的低通。
上述A,B和AB类放大器被定义为线性放大器。我们将在下个部分讨论线性放大器和D类放大器的不同。线性功放的原理框图如图1所示。在线性放大器中,信号总是模拟信号,输出作为线性调节器用来调整输出。因输出器件两端存在电压降,从而使功放效率降低。D类放大器有很多种不同的形式,有些为数字输入式,有些为模拟输入式。我们将集中讨论模拟输入式。

图 1 D类放大器模块图(点击放大图片)
图l所示为是半桥D类放大器的基本框图及放大器每一级的波形。将输出信号反馈至输入端,以补偿总的波动。
D类放大器的工作原理。D 类放大器的工作原理和PWM相似(稍后有模拟功放的示息图),假设输入信号为一个标准的音频信号-----在20~20kHz的典型正弦波。如图2a所示,将这个音频信号与高频三角波或锯齿波相比较产生一个PWM信号。将这个PWM信号用于驱动功率级产生放大的数字信号,最后采用低通过滤PWM载波,还原出正弦音频信号(见图2)。

图2 D类放大器波形图(点击放大图片)
线性和D类放大器的拓扑结构对比
在这部分我们将讨论线性放大器(A 类和A B类)和D类音频功率放大器的不同之处。两者主要不同在效率。这也是当初开发D类放大器的主要原因。线性放大器线性很好但效率也很低,功率约为50% ,而D类放大器的效率很高,在实际使用中可高达90%。图3对线性放大器和D类放大器的典型效率曲线进行了比较。

图3 线性和D类放大效率(点击放大图片)
增益---线性放大器的增益不会受总线电压影响而变化,而D类放大器的增益是和总线电压成一定比例。这就意味着D类放大器的抗扰比(PSRR)为0dB,而线性放大器的PSRR就很好。D类放大器普通采用反馈来补偿总线电压的波动。
能量流向---在线性放大器中,电流是从电源流向,在全桥D类放大器中也是如此。而半桥D类放大器则不同,因其电流可以双向流动从而导致“总线电压上升”这一现象,这样会造成总线被从负载至电源方向反向加载的能量充电。这种情况主要发生在低频,如低于l00H Z。
模拟同步降压转换器
可对D类放大器和同步降压转换器进行简单模拟,两者的拓扑原理在本质上完全一致,如图4所示。

图4 D类放大器拓扑元转化(点击放大图片)
这两个电路的不同之处在于同频降压变换器所用的参考信号是来自反馈电路的缓慢变化信号(稳定电压),而D类放大器所用的参考信号则是一个不断变化的音频信号。也就是说,同步降压转换器的占空比是相对稳定的,而D类放大器的占空比是波动的,其平均占空比为50%。
在同步降压转换器中,负载电流的方向总是朝着负载。但是在D类放大器中,其电流是双方向的。
最后,同频降压转换器和D类放大器对MOSFET的优化方式不同。同步降压转换器对高端和低端MOSFET采用不同优化方式-----通过降低RDS(on)则可延长占空比,降低RDS(on)则可缩短占空比。而D类放大器高/低端的两个MOSFET采用相同的优化方式,具有相同的Rds(on)。
MOSFET中的功率损耗
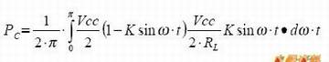
线性放大器和D类放大器的电源开关损耗截然不同。首先看AB类线性放大器的损耗,其定义式如下:
其中,K是总线电压与输出电压的比率。
线性功放功率器件损耗,可以简化如下:
需要说明的是功率损耗与输出器件参数无关。图5说明了功率损耗和K之间的关系。

图3 功率损耗和K之间的关系(点击放大图片)
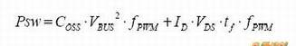
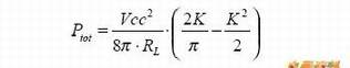
我们再看D类放大器的损耗。D类放大器输出器件的总能量损耗定义如下:
Psw为开关损耗,计算公式计如下:
Pcond为传导损耗,计算公式计如下:
Pgd为栅极驱动损耗,计算公式计如下:
从以上公式可以看出,D类放大器的输出损耗是由器件的参数决定。可通过Qg
Rds(on)、 Coss和tf参数的控制,优化得到最有效的器件,图6为D类放大器的功耗和K的函数关系。

图6 D类放大器的功耗和K的函数关系(点击放大图片)
与传统A B类放大器相似,D类放大器可以归类成两种拓扑,分别是半桥和全桥结构。每种拓扑都各有利弊。简而言之,半桥结构简单,而全桥的音频性能上更好一些。因为全桥拓扑需要用到两个半桥功放,所以需要更多元器件。尽管如此,桥拓扑的固有差分输出结构可像在AB 类功放一样消除和直流偏置。全桥拓扑允许用更好的PWM调制方案,如通过量化信号而使误差降低的三级PWM调制。
在半桥拓扑中,电源会受到放大器回冲能量的冲击,当放大器输送低频信号至负载时会导致严重的总线电压波动。能量回流到电源是D类放大器的一个基本特性。全桥电路中的一个臂会消耗另一个臂的能量,所以就没有回流的能量,保护了电源。
表1对上述比较结果进行了归总。

图2 汇总结果表格点击放大图片)
理想的D类放大器在音频波段不会产生失真和噪音,并且效率可高达100%。然而,如图7所示,在实际使用过程中D类放大器会产生失真和噪音,这是由于D类放大级产生的失真开关波形造成的。

图7 主要噪音产生(点击放大图片)
原因如下:
1.从到开关级由于受分辨率限制和/或时序脉冲抖动可能导致的PWM信号非线性失真。
2.栅极驱动所导致的时序波形误差,如死区时间,开启/断开时间, 上升/下降时间。
3. 开关器件所具有的不必要特性,如开启,开关速度受限或体特征。
4.导致脉冲翻转沿震荡的杂散参数。
5. 因输出为有限大(不是无穷大)和通过直流总线的能量反作用而引起电源电压波动。
6. 输出LPF的非线性
通常,栅极信号的开关时间误差是导致非线性的主要原因。特别是死区时间会严重影响D类放大器的线性。时长仅为几十纳秒的死区时间就极有可能使THD (总谐波失真)发生1%以上的波动。设计时通常会着重考虑精确的开关时间。
让我们看一下死区时间是如何影响放大器的线性的:
D类放大器输出级的工作模式可以根据输出波形随输入时序波形的变化而分成3个不同的区间。在这3个不同的工作区内,输出波形跟随高/低端输入信号的翻转而变化。
首先看第一工作区间,当电流大于波纹电流时,输出电流从D类放大器流向负载。在高端器件断开和低端器件开通之前这一瞬间,输出节点已由负电压直流总线驱动。这一动作是由线图的换向电流自动完成,与低端器件开通时序波形无关。因此输出波形不会受到低端器件开启前死区时间的影响,而是随高端输入时序的变化而变化。因此,PWM波形仅受加在高端栅极信号的死区时间的影响而缩短,导致电压增益稍许下降,这点可从输入占比空可以看出。
负周期工作区的情况亦相似,输出电流从负载流向D类放大器。电流大于电感波纹电流。在这种情况下,输出波形的时序不会受高端开启沿(turn-on edge)死区时间的影响,而总是随低端输入时序的变化而弯化。因此,PWM波形波形仅受加在低端栅极信号的死区时间的影响而缩短。
在上述两类工作模式区间之间还存在一个区间,该区域中内的输出时序波形与死区时间无关。当输出电流小于电感波纹电流时,输出时间跟随每个输入的关断沿(turn-off edge)的变化而变化,因为在这个区域是ZVS (零电压开关)操作状态,因此在这一中间区域不会存在失真。
输出电流会随音频输入信号的不同而变化,而D类放大器也会随之处在不同的工作区间,且其在每个工作区间内的增益都稍有不同。在一个音频信号周期内,因这三个工作区间的增益不同,从而使得输出波形产生失真。
图8对死区时间如何影响THD性能进行了说明。一个时长为40nS死区时间会使THD产生2%的波动。通过将死区时间减小到l 5nS可将THD的波动控制在0.2%。这也充分说明无缝高/低端转换对改善线性具有十分重要的意义。

图8 THD和死区时间(点击放大图片)