的静态特性是指传感器的输入信号不随时间变化或变化非常缓慢时,所表现出来的输出响应特性,称静态响应特性。通常用来描述静态特性的指标有:测量范围、精度、灵敏度、稳定性、非线性度、重复性、灵敏阈和分辨力、迟滞等。
•测量范围
测量范围是指传感器能正常工作时的最小输入值与最大输入值之间的范围。
•精度
与精度有关的指标有三个,即精密度、准确度和精确度。
•稳定性
传感器的稳定性,一是指传感器测量输出值在一段时间内的变化,即用所谓的稳定度表示;二是指在传感器外部环境和工作条件变化时而引起输出值的变化,即用影响量来表示。例如,某传感器输出值每小时变化1.3mv/h。又如,某传感器由于变化10%而引起其输出值变化0.02mA,则应写成0.02mA/(u10%)。
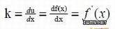
• 灵敏度
传感器灵敏度是表示传感器的输入增量与由它引起的输出增量之间的函数关系。更确切地说,灵敏度k等于传感器输出增量与被测量增量之比,是传感器在稳态输出输入特性曲线上各点的斜率,可用下式表示:

• 灵敏阈与分辨力
灵敏阈是指传感器能够区分出的最小读数变化量。对模拟式仪表,当输入量连续变化时,输出量只做阶梯变化,则分辨力就是输出量的每个阶梯所代表的输入量的大小。对于数字式仪表,灵敏度阈就是分辨力,即仪表指示数字值的最后一位数字所代表的值。
从物理含义看,灵敏度是广义的增益,而灵敏度阈则是死区或不灵敏度。
迟滞
传感器在正(输入量增大)反(输入量减小)行程中— — 输入特性曲线不重合的程度称为迟滞。

重复性
重复性是指传感器沿同一方向变化时,在全量程范围内连续进行多次测试,所得到的各特性曲线重复程度。
