1.的组成
共集电极放大电路如图所示,其特点是:的集电极直接与直流U相接,接在发射极两端。显然,电路的输入极为基极,输出极是发射极。
2.静态分析
该电路的直流通路如图所示。


3.动态分析
在交流情况下,Ucc=0,相当于“地”电位;Rb相当于接在基极与“地”之间;耦合C1、C2相当于短路。显然,集电极为输入、输出回路共同的交流“地”端,如上图所示,因此称之为共集电极放大电路,其微变等效电路如下图所示。
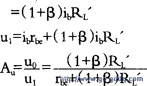
(1)较大倍数AuUo=(1+β)ib(Rb//RL)通常(1+β)Rl>>Rbe,故Au表达中分子约等于分母,即共集电极放大电路的Au约等于1。
因Au为正值,说明Ui与U0相同;又因Ui≈U0,说明电路中的电压并没有被放大。但电路中ie=(1+β)ib,说明电路仍有放大和功率放大作用。此外,U0是由射极输出的,因之共集电极放大电路又称为“射极输出器”。



2)求电路的输入Rir1=Rb∥[Rbe+(1+β)RL']
射极输出器的R1较大,通常可达数百千欧姆。
(3)求电路的输出r0
显然,射极输出器的r0较小,仅为数十欧姆或数百欧姆。
综上所述,射极输出器电路特点如下:
(1)电压放大倍数小于1约等于1,即U0跟随Ui变化。
(2)输入电阻较高。
(3)输出电阻较低。
4.射极输出器的用途
射极输出器具有较高的输入电阻和较低的输出电阻,这是射极输出器最突出的优点。射极输出器常用于多级放大器的第一级或最末级,也可用于中间隔离级。
用作输入级时,其高输入电阻可以减轻信号源的负担,提高放大器的输入电压。用作输出级时,其低输出电阻可以减小负载变化对输出电压的影响,并易于与低阻负载相匹配,向负载传送尽可能大的功率。