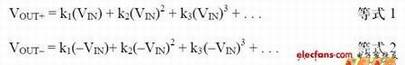
差分设计固有的低二阶失真产物如下所示。失真产物可以通过将传递函数表达为幂级数来建立模型。
进行输出一般扩展并假设放大器匹配,我们得到:

采用差分输出:
其中k1、k2和k3为常数。
二次项引起二阶,三次项引起三阶谐波失真,如此等等。在一个全差分放大器中,奇数阶项保留极性,而偶数阶项则始终为正。当采取差分时,偶数阶项如等式3所示消除。三阶项不受影响。
差分输入ADC的一种最常用驱动方法是使用。不过,因为必须延伸至直流,许多应用无法使用变压器来驱动。这类情况就需要使用差分驱动器。在ADC前面需要明显信号增益的情况下,差分放大器提供一种不错的解决方案。尽管提供"无"增益,但匝数比大于2的变压器一般为带宽和失真问题所困扰,在中频时尤为明显。
图1所示为驱动ADC而优化的AD813x和ADA493x系列全差分放大器框图。图1A显示内部电路细节,而图1B显示等效电路。增益由外部RF和RG设定,共模电压由M引脚上的电压设定。内部共模反馈强制VOUT+和VOUT–输出保持平衡,即在两个输出端的信号根据等式幅值始终相等,但相差180°。

图1:AD813x、AD493x差分ADC驱动器功能框图及等效电路。
AD813x和ADA493x用两个反馈环路,来分开控制差分输出电压和共模输出电压。外部设定的差分反馈只控制差分输出电压。共模反馈控制共模输出电压。这种架构方便在应用中任意设定输出共模。内部共模反馈强制其等于VOCM输入上施加的电压,而不影响差分输出电压。其结果是近乎完美的平衡差分输出,在宽广的内其幅度完全相同,相位相差180°。该电路可配合差分或单端输入使用,且电压增益等于RF与RG之比。
该电路可使用图2中所归纳的假设和程序来分析。如同运算放大器电路直流分析的情况,我们可以先假设流入和输入的为零(即相对反馈值较高)。第二个假设为反馈强制同相和反相输入电压相等。第三个假设为输出电压相位相差180°并在VOCM两侧对称。

图2:差分放大器电平分析
即使外部反馈网络(RF/RG)不匹配,内部共模反馈环路仍将强制输出保持平衡。每个输出端的信号幅度保持相等,相位相差180°。输入到输出的差模增益变化与反馈的不匹配成比例,但输出平衡不受影响。外部电阻的比例匹配误差会导致电路抑制输入共模信号的能力降低,非常类似于使用常规运算放大器制成的四电阻差动放大器。
而且,如果输入和输出共模电压的直流电平不同,匹配误差会导致一个细小的差模输出失调电压。对于G = 1,具有一个地基准输入信号且针对2.5 V设定输出共模电平的情况,如果使用1%容差电阻,则可产生高达25 mV的输出失调(1%共模电平差)。由于2.5 V电平转换,1%容差的电阻将导致一个约40 dB的输入CMR(最差情况)、25 mV的差模输出失调(最差情况),不会对输出平衡误差造成明显恶化。
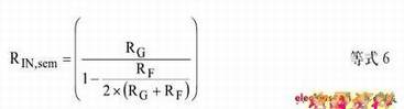
如图2所示电路的有效输入(在V IN+和V IN–端)取决于放大器是由单端信号源驱动,还是由差分信号源驱动。对于平衡差分输入信号,两个输入端(V IN+和V IN– )之间的输入阻抗(R IN,dm )为:
若为单端输入信号(例如,若V IN–接地,输入信号接入V IN+ ),输入阻抗则为:

该电路的单端输入阻抗高于作为反相放大器连接的常规运算放大器,因为一小部分差分输出电压在输入端表现为共模信号,从而部分增加了输入电阻RG两端的电压。
图3所示为AD813x差分放大器的一些可能配置。图3A为标准配置,其中利用两个反馈网络,分别表现为反馈系数1和2.另需注意,各反馈系数可能为0与1之间的任意数。
图3:差分放大器的一些配置
图3B显示在 V OUT–至V+之间无任何反馈的配置,即1 = 0.在这种情况下,2决定反馈至V–的V OUT+量值,且除了有额外的互补输出外,电路类似于同相运算放大器。因此,整体增益是同相运算放大器的两倍,或2 × (1 + RF2/RG2)或2 × (1/2)。
图3C显示1 = 0且2 = 1的电路。该电路特别提供无电阻增益2.
图3D显示2 = 1的电路,而1则由RF1和RG1决定。此电路的增益始终小于2.
最后,图3E的电路2 = 0,除V OUT+端的额外互补型输出外,极其类似于常规反相运算放大器。