开关树型
结构
开关树型电路由分压器和接成树状的开关网络组成。图11.4.1是输入为3位数码的开关树型转换器电路结构图。图中这些开关的状态分别受3位输入代码状态的控制。

图11.4.1 开关树型D/A转换器
11.4.2 工作原理
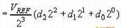
当d2=1时S21接通而S20断开;当d2=0时S20接通而S21断开。同理,S11和S10两组开关的状态由d1的状态控制,S01和S00两组开关由d0的状态控制。由图可知
对于输入为n位二进制数的D/A转换器则有
优缺点
1.种类单一,有利于提高转换速度。
2.输出端不取,对开关的导通内阻要求不高。
3.速度快。
4.缺点是转换位数增加时,开关器件的数量呈2n增加。