ADC 双积分式
1.转换方式
V-T型间接转换ADC。
2. 结构
图11.11.1是这种转换器的原理电路,它由积分器(由集成运放A组成)、过零比较器(C)、时钟脉冲控制门(G)和计数器(FF0~FFn)等几部分组成。

图11.11.1 双积分转换器
(1)积分器
积分器是转换器的核心部分,它的输入端所接开关S1由定时信号Qn控制。当Qn为不同时,极性相反的输入vI和参考电压 VREF将分别加到积分器的输入端,进行两次方向相反的积分,积分时间常数τ=RC。
(2)过零比较器
过零比较器用来确定积分器的输出电压v0过零的时刻。当v0≥0时,比较器输出vC为低电平;当v0<0时,vC为高电平。比较器的输出信号接至时钟控制门(G)作为关门和开门信号。
(3)计数器和定时器
它由n+1个接成计数器的FF0~FFn-1串联组成。触发器FF0~FFn-1组成n级计数器,对输入时钟脉冲CP计数,以便把与输入电压成正比的时间间隔转变成数字信号输出。当计数到2n个时钟脉冲时,FF0~FFn-1均回到0态,而FFn翻转到1态,Qn=1后开关 S1从位置A转接到B。
(4)时钟脉冲控制门
时钟脉冲源标准Tc,作为测量时间间隔的标准时间。当vC=1时,门打开,时钟脉冲通过门加到触发器FF0的输入端。
3.工作原理
双积分ADC的基本原理是对输入模拟电压和参考电压分别进行两次积分,将输入电压平均值变成与之成正比的时间间隔,然后利用时钟脉冲和计数器测出此时间间隔,进而得到相应的数字量输出。由于该转换电路是对输入电压的平均值进行变换,所以它具有很强的抗工频干扰能力,在数字测量中得到广泛应用。
下面以输入正极性的直流电压vI为例,说明电路将模拟电压转换为数字量的基本原理。电路工作过程分为以下几个阶段进行,图中 各处的工作波形如图11.11.2所示。
(1) 准备阶段
首先控制电路提供CR信号使计数器清零,同时使开关S2闭合,待积分放电完毕后,再使S2断开。
(2) 第一次积分阶段
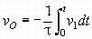
在转换过程开始时(t=0),开关S1与A端接通,正的输入电压vI加到积分器的输入端。积分器从0V开始对vI积分,其波形如图11.11.2斜线O-VP段所示。 根据积分器的原理可得
(其中τ=RC)
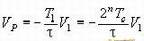
由于vO<0,过零比较器输出为高电平,时钟控制门G被打开。于是,计数器在CP作用下从0开始计数。经2n个时钟脉冲后,触发器FF0~FFn-1 都翻转到0态,而Qn=1,开关S1由A点转接到B点,第一次积分结束,第一次积分时间为t=T1=2 令VI为输入电压在T1时间间隔内的平均值, 则由式

可得第一次积分结束时积分器的输出电压为Vp
![]()
图11.11.2双积分A/D转换器各处工作波形
(3) 第二积分阶段
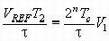
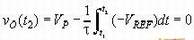
当t=t1时,S1转接到B点,具有与vI相反极性的基准电压-VREF加到积分器的输入端;积分器开始向相反方向进行第二次积分;当t=t2时,积分器输出电压v0≥0,比较器输出vC=0,时钟脉冲控制门G被关闭,计数停止。在此阶段结束时v0的表达式可写为
设T2=t2-t1,于是有
设在此期间计数器所累计的时钟脉冲个数为λ,则 T2=λTc

可见,T2与V1成正比,T2就是双计分A/D转换过程中的中间变量。
上式表明,在计数器中所得的数λ(λ=Qn-1···Q1Q0),与在取样时间T1内输入电压的平均值VI成正比的。只要VI
由于双积分A/D转换器在时间内采的是输入电压的平均值,因此具有很强的抗工频干扰的能力。尤其对周期等于T1或几分之一的对称干扰(所谓对称干扰是指整个周期内平均值为零的干扰),从理论上来说,有无穷大的抑制能力。即使当工频干扰幅度大于被测直流信号,使得输入信号正负变化时,仍有良好的抑制能力。由于在工业系统中经常碰到的是工频(50)或工频的干扰,故通常选定采样时间T1总是等于工频周期的倍数,如20ms或40ms等。另一方面,由于在转换过程中,前后两次积分所采用的同一积分器。因此,在两次积分期间(一般在几十到数百毫秒之间),R、C和脉冲源等元器件参数的变化对转换精度的影响均可忽略。
最后必须指出,在第二积分阶段结束后,控制电路又使开关S2闭合,C放电,积分器回零。电路再次进入准备阶段,等待下一次转换开始。
4.特点
(1)计数脉冲个数λ与RC无关,可以减小由RC积分非线性带来的误差。
(2)对脉冲源CP要求不变,只要在T1+T2时间内稳定即可。
(3)转换精度高。
(4)转换速度慢,不适于高速应用场合。
单片集成双积分式A/D转换器有ADC-EK8B(8位,码)、ADC-EK10B(10位,二进制码)、MC14433(7/2位,BCD码)等。