美国环保署(Environmental Protection Agency, EPA)与能源部(Department of Energy, DOE),自2010年起陆续对光源灯具/灯泡发布能源之星(Energy Star® )及Lighting Facts标准,让相关业者的LED照明产品规格有所依循,目前国际LED大厂针对LED产品的寿命评估与产品规格,也以此为依据。也就是说,LED厂商若想打入国际LED照明市场,势必取得LED能源之星认证这张门票。
在能源之星部份,2011年7月6日,EPA为了简化资格审查程序,特别将住宅照明(RLF)及固态照明(SSL Luminaires)两大型态的灯具规范整合成【ENERGY STAR® Luminaires Program Requirement V1.1】,并订定2012年4月1日正式开始实施,此外灯泡的部分也整合成【ENERGY STAR® Program Requirements for Integral LED Lamps V1.4】,两份规范中除了审核的数据项增加外,引起较多讨论的应该是【LM-82光电特性规范】与【TM-21寿命预估规范】的要求已纳入其中。
LM-82目前在北美照明协会(IESNA)尚未正式出版,其内容主要为LED Light Engines及Integrated LED Lamps的电性与光学特性在不同温度下的特征验证方式,其量测方式相似于LM-79-08计划,但重点为温度对电/光参数的特征影响性评估。
另一部分则为IESNA于2011年7月25日出版的TM-21-11 (Projecting Long Term Lumen Maintenance of LED Light Sources),此规范主要是针对LED光源表现与寿命进行预测,并与日前所公告的LM-80-08 LED流明维持率实验进行连结,应用LM-80-08的实验数据来推估LED组件及灯具/灯泡的长期寿命表现。
一、使用TM-21推估LED灯具寿命步骤
为使LED业者对TM-21有较清晰的概念,并了解如何善用TM-21推估LED产品,笔者将以四个程序说明LM-80-08与TM-21-11的应用及推估方式:
步骤一 : LED组件供货商对其LED Source(kage/Array/Module)进行3个温度(55℃/85℃/自选温度)至少6,000小时的LM-80-08实验。
★ 样品数要求 : (与可推估时间其有关连性)

★ 测试时间要求 : (与推估精准度有连结性)
至少6,000小时,建议为10,000小时,每隔1,000小时需要取得测试之LED光衰数据,间隔时间越短(如:500小时)可提升推估时的准确度。
步骤二 : 依TM-21-11公式推估3个测试温度(55℃/85℃/自选温度)的长期寿命数据。
★ 取得各温度实验数据,测试数据取出时间规则为:

★ 以Exponential Least Squares Curve-Fit(最小平方曲线拟合)取得斜率
m(Slope)与截距b(Intercept),计算m与b时若测试时间越长间隔越密集,其精准度将提升,接着计算出B与α数值。
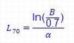
★ 依下列公式计算出各温度实验之LED在ENERGY STAR规定之流明维持率70%时的寿命时间数值。
L70 : 当LED流明维持率为70%时的使用时间

★ 以步骤一中样品数量进行可推估倍数时间之标准判断:

表示方式为 :![]()
(6K) : LM-80测试时间,(6K)=6,000小时;(10K)=10,000小时
XX,XXX Hours : 样品≧20ea,测试时间=6,000,可推估6倍为36,000小时
★ 使用Exponential公式计算出各时间之流明维持率,则可以计算出之数据绘出各测试温度的推估寿命曲线图:

步骤三 : 取得该LED组件置于LED灯具的实地量测温度(In Situ Temperature)。
★ 请参照ISTMT(In Situ Temperature Measurement Test)测试程序取得LED组件置于LED灯具中的温度,该测试温度位置须与LM-80-08的Ts设定位置相同,取出之温度数据称为TMPLED(LED Temperature Measurement Point)。
步骤四 : 以测量之TMPLED与TM-21计算之结果进行内插计算,取得TMPLED的推估寿命数值。
★ 从三个测试温度点中选出包覆TMPLED最近的两个温度点作为计算基准点。
★ 计算Arrhenius Model温度加速参数A并得出Decay Rate:α与定值参数B0。
★ 以上述之公式计算出TMPLED的L70数值,相同程序表示TMPLED之结果。

★ 套入相关时间数值并绘制出TMPLED与三个Ts的寿命推估图。

二、ENERGY STAR / Lighting Facts对于LED灯具/灯泡的寿命要求
ENERGY STAR在灯具只有两种规格,灯具厂商可使用整灯点亮6,000Hrs.,或提交组件厂商的6,000Hrs LM-80报告与TM-21推估结果来证实灯具成品的流明维持率,在灯泡部分标准就较为弹性,用途不同则标准会进行微调,如下表:

三、LED照明高度竞争的决胜关键:LED品质
照明产品被视为LED的最大商机,然而过去LED价格过高,虽拥有省电环保等优点,但价格仍无法与白炽、省电灯泡竞争。外加前几年由于未有相关质量验证标准可循,LED质量良莠不齐(光衰问题、变色问题等),也导致许多负面的使用经验,也造成LED照明使用量迟迟无法有爆炸性的成长。
不过2012年,LED照明价格的甜蜜点已提前来到,预期接下来两年,LED需求将大幅翻扬。当LED产品价达消费者可接受之价位,LED厂商能否在这波需求翻扬时刻,在众厂商中脱颖而出,受消费者亲睐,决胜负的关键就在于LED的质量与寿命。
因此,寻找专业的实验室给予协助,绝对是提升质量与市场竞争力最快速的方法之一。
宜特科技近三年来,针对LED磊晶(EPI)、封装至成品,均投入了大量的资源在光学、可靠度与故障分析等工程能力建置上,藉以协助客户判别LED产品在可靠度试验前、中、后之光特性参数变化、寿命估算、质量改善等整合型解决方案。2011年,更进一步取得美国国家环境保护局(US Environmental Protection Agency;EPA)在LED LM-80的实验室认可资格,并提供LED LM-80验证服务。