数字的形式主要有以下3种:
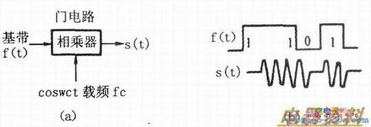
(1)幅移键控。幅移键控(ASK)是数字信号调制中的一种典型调制方法,二进制的ASK方式又叫通断键控。下图 (a)是单极性基带信号(矩形脉冲)对载波进行通断键控的简化框图。图中的载频信号fc是由余弦波产生,相乘器用ASK调制器,实际上相当于一个门,1码开门,0码不开门。调制波形如下图(b)所示。
(2)频移键控。频移键控(FSK)的原理图如下图所示。基带信号l、0码分别控制两个载频信号fcl,fc2与两个相乘器,其中一个相乘器的控制信号是经过倒相器输出的二进制基带信号。相乘器是一个门电路,FSK信号可认为是两个交替的ASK波形合成的。

(3)相移键控。二进制数字信号基码对载波进行调相,分为绝对移相PSK(IPSK)和相对移相DPSK(1DSK)两种形式。
绝对移相是利用载波信号的不位去传输数字信号的1码和0码。下图(a)是一组数字基带信号。下图(b)是绝对调相信号波形。调相只改变载波信号的,而不改变其振幅和。在IPSK中,载波起始相位与基带码的关系是:载波0相位对应基带信号的1码;载波π相对应基带信号的0码。
相对移相是利用载波信号相位的相对关系去传输数字信号的1码和0码。这时载波信号的相位与数字信号的l码和0码之间没有固定的对应关系,其相位变化的结果是:当数字信号为l码时,载波相位移相Ⅱ。当数字信号为0码时,载波相位不变。逢1码载波相位改变Ⅱ,逢0码载波相位不变的IDSK的调相波形,如下图(c)所示。
