根据等效原则,放大器的交流等效如下图所示。C1、C2相当于短路,不必画出。

发射极C3相当于短路,所以Re对于信号无影响,也不必画出。
这个等效电路容易与直流混淆也不完整,还必须将三极管也作出等效变换。
工作中的三极管对于交流信号又等效于什么形式的电路呢?
我们知道放大器中的三极管是接成共发射极形式,信号输入端是基极B和发射极E,输入信号加在BE之间,也就是加在发射结上。输出端则是集电极C和发射极E,输出是集电极电流。
输入端口的等效:在第二讲介绍PN结特性时已经讲过,PN结正向偏置时对外部电路的作用相当于一个Rbe,而且它是非线性的,在不同条件下表现出的值是不同的。通过PN结的电流越大,表现出的电阻值越小。换句话说,发射结的等效电阻值是随基极静态电流大小而变化的。对于交流信号,发射结同样相当于一个电阻rbe,这一电阻称为“动态电阻”,它的值不同于直流电阻值Rbe,但同样与静态基极电流大小有关,通常用下面的公式来估算:

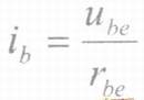
其中的thb’是基极体电阻,其值大约在100~300Ω之间,在一般工程计算中可以取300Ω。因此,对信号而言,三极管输入端就可以等效如下图(a),若在BE间加入信号Ube,即产生基极电流ib,其大小是
由于基极电流IBQ值很小,不易测量,而集电极电流Q则比较大,容易测量。所以rbe的常用计算公式可以写成:
使用此公式计算动态电阻时一定要注意单位的选择,计算结果的单位是Ω。
输出端口的等效:三极管工作时的输出电流是ic。在放大状态下,i的大小决定于基极电流ib,而与集电极电压UCE的变化(基本)无关。
换句话说,只要基极电流不变,尽管输出端电压有变化,但i的大小不会变化,因此,三极管输出端相当于一个恒流源,输出电流大小为ic=βib。所以三极管输出端口对外特性相当于如下图(b)所示。
三极管对于信号的等效成如下图(c)所示。

现在,可以画出放大器完整的交流等效电路,它如下图所示。虚线框内是三极管的等效电路,输入信号ui加在B、E之间,输出信号u。从C、E取出。
