静态工作点指的是信号未输入时放大器的直流状态,主要指三极管三个电极的直流和。因为这些参数相互之间有密切关系,在实际应用中往往只需要求出集电极静态电流Q和集一射极之间的静态电压UCEQ。
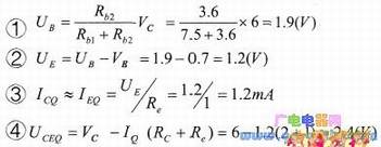
放大器三极管基极的直流电位基本上是稳定的,这是因为流过偏置Rb1的电流大大于基极电流,因此可以认为通过Rbl、Rb2的电流是相等的,所以三极管的基极电位UB是由偏置Rb1、Rb2分压决定的。

在放大状态下,三极管发射结电压降VBE大约为0.7伏(对硅材料管而言),所以发射极的静态电位UE也随之被确定了:
![]()
通过发射极R4的电流、即发射极的静态电流IEQ就可以计算得出:

已知三极管的β=50,说明基极电流只有集电极电流的1/50,是很小的值,因此可以认为集电极电流约等于发射极电流,这种估算在工程计算上是允许的,即
那么,静态时三极管的集一射极之间的电压UCEQ也可以按下式计算出来:
所以,可以利用上述分析得到的公式,计算出放大器的静态工作点:

小信号电压放大器的集电极静态电流一般取0.8mA~2mA之间,可以根据实际需要进行调整。应该怎样来调整静态工作电流呢?从上述的分析中可以看出,根本的调整方法是改变三极管基极的电位UB。改变偏置电阻Rb,或Rb2中的任意一个的值,都可以改变UB,通常是调整上偏置电阻Rb1。图中Rb1旁边标有“*”号,表示此电阻值允许调整。
假设需要将ICQ从原来的1.2mA调整为1mA,应该如何调整偏置电阻Rb1呢?可以按这样的思路来分析:
①若要求ICQ=1mA,则IEQ≈ICQ=1mA,所以发射极电位

②由于UF=1V,故基极电位应该是
③既然UB=1.7V,那么将(1)式进行变换后可得:

因此可以计算出
结论:将上偏置电阻Rbl从原来的7.5KΩ改为9.1KΩ,静态电流ICQ就从1.2mA调整到1mA。要使ICQ减小,必须将Rb1调大;要使ICQ增大,就将Rb1调小。
当然,适当地调整发射极电阻Re的值,也能使ICQ有所变化,这也不失为一种调整静态电流的方法。但Re的变化对放大器其它性能影响比较大,所以一般不用这一方法来调整静态电流。
要注意的是,静态工作电流改变之后,三极管集一射极之间的电压会随之改变,ICQ越大,UCEQ就越小,这会影响输出信号的。所以在需要调整静态工作电流时,要从各方面统筹考虑。静态工作点确定之后,不要随意去变动它。