当采用一个集成运算放大器不能实现宽带放大器的带宽或增益时,可以采用多个集成运算放大器级联的方式,以获得更宽的带宽。
关于多级放大器带宽的表述,
这个表述主要是说,当多级放大器级联时,整个放大器的带宽会变窄,而且窄到什么程度都可以算得出来。这个表述的前提是,放大器级联时,每个放大器的增益与单级放大器的增益是一样的。
在这里要研究或讨论的是,多级放大器级联后的总增益与没有级联的单级放大器增益相同时,级联的放大器带宽会是怎样的,或者说带宽可以展宽多少。
对于单极点放大器,其增益带宽乘积是一个常数,因此降低增益会获得更高的带宽。
为了比较多级放大器展宽带宽的事实,多级放大器的增益与单级放大器的增益要相同,而且放大器为集成运算放大器。这样多级放大器的总增益与每一级的增益的关系为
![]()
这时,级联后的单级放大器的带宽为
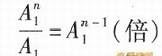
级联后的放大器带宽与相同增益单级放大器带宽的关系为
在这个式子中,n是大于或等于2的数。当A1>1时就可以展宽带宽。
1.增益为100倍的级联放大器的带宽
例如,宽带集成运算放大器NE5534的带宽增益乘积为10M,如果用单级NE5534构成增益为100的放大器,其带宽仅为lOOkHzi如果由5级NE5534构成宽带放大器,则其单级增益可以降低为![]()
对应的放大器带宽为
对应的5级级联放大器的带宽为
5级NE5534级联的放大器具有的带宽增益乘积为161. 32MHz,远远高于10MHz的带宽增益乘积。
通过上述例子可以看到,采用多级集成运算放大器级联,可以获得明显高于单级集成运算放大器带宽的效果。
如果是10级NE5534级联,则增益可降低为
对应的放大器带宽为
对应的10级级联放大器的带宽为
当放大器的带宽增益乘积不能满足要求时,可以采用放大器级联的形式提高放大的带宽增益乘积和放大电路的带宽。需要注意的是,从上述例子看到,即使将放大器的级联数量从5级增加到10级,其带宽仅仅从1613kHz增加到1813kHz,这是由于放大器级联时会损失放大器的带宽。因此,用放大器级联的形式所获得的带宽极限大概只能达到单只集成运算放大器单位增益带宽的约1/5。
如果是3级NE5534级联,则增益可降低为
从上述分析可以看到,当放大器的级联数达到5级时,继续增加放大器的级联数量已经没有什么实际意义了。