为了解决差动放大器的低和输入端、输入端的输入不同的问题,为了使差动放大器具有高输入阻抗甚至是极高的输入阻抗,可以采用在差动放大器的同相输入端、反相输入端分别接入跟随器的方式解决,如下图所示。
式中,Ri、ri、A、F分别为跟随器的输入阻抗、集成运算放大器的输入阻抗、集成运算放大器开环增益、反馈系数。
如果ri为1MΩ(这是最差的集成运算放大器输入阻抗)、A为10000倍(这是最差的集成运算放大器开环增益)、跟随器的反馈系数为1,则跟随器的输入阻抗为1000IMΩ。
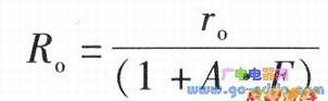
跟随器的输出阻抗为
如果运算放大器的输出阻抗为lOOΩ(这是最差的集成运算放大器输入阻抗)、A为10000倍、跟随器的反馈系数为1,则跟随器的输入阻抗为1/100Ω,即0.OlΩ。这个值将差动放大器同相、反相输入端由于输入阻抗不同产生的影响减小到最小。