1.电磁转矩(简称转矩)
异步电动机的转矩T是由旋转磁场的每极F与转子I2相互作用而产生的。电磁转矩的大小与转子绕组中的电流I及旋转磁场的强弱有关。
经理论证明,它们的关系是:
其中
T为电磁转矩KT为与电机结构有关的常数
F为旋转磁场每个极的磁通量
I2为转子绕组电流的
j2为转子电流滞后于转子电势的角若
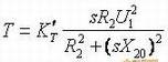
考虑及电机的一些参数与电磁转矩的关系,上式修正为:

其中为常数
U1为定子绕组的
S为转差率
R2为转子每相绕组的
X20为转子静止时每相绕组的
由上式可知,转矩T还与定子每相电压U1的平方成比例,所以当电压有所变动时,对转矩的影响很大。此外,转矩T还受转子R2的影响。
在一定的电源电压U1和转子R2下,电动机的转矩T与转差率n之间的关系曲线T=f(s)或转速与转矩的关系曲线n=f(T),称为电动机的机械特性曲线,它可根据式得出,如下图所示。
在机械特性曲线上我们要讨论三个转矩:

1).额定转矩TN
额定转矩TN是异步电动机带额定时,转轴上的输出转矩。

式中P2是电动机轴上输出的机械功率,其单位是瓦特,n的单位是转/分,TN的单位是牛·米。
当忽略电动机本身机械摩擦转矩T0时,阻转矩近似为负载转矩TL,电动机作等速旋转时,电磁转矩T必与阻转矩TL相等,即T= TL。额定负载时,则有TN= TL。
2).最大转矩Tm
Tm又称为临界转矩,是电动机可能产生的最大电磁转矩。它反映了电动机的过载能力。
最大转矩的转差率为Sm,此时的Sm叫做临界转差率,见上图a)最大转矩Tm与额定转矩TN之比称为电动机的过载系数l,即l= Tm/ TN
一般三相异步的过载系数在1.8~2.2之间。
在选用电动机时,必须考虑可能出现的最大负载转矩,而后根据所选电动机的过载系数算出电动机的最大转矩,它必须大于最大负载转矩。否则,就是重选电动机。
3).起动转矩Tst,
Tst为电动机起动初始瞬间的转矩,即n=0,s=1时的转矩。
为确保电动机能够带额定负载起动,必须满足:Tst>TN,一般的三相异步电动机有Tst/TN=1~2.2。
3.电动机的负载能力自适应分析
电动机在工作时,它所产生的电磁转矩T的大小能够在一定的范围内自动调整以适应负载的变化,这种特性称为自适应负载能力。
直至新的平衡。此过程中,时,电源提供的功率自动增加。
总结:
1、电磁转矩T的大小与转子绕组中的电流I及旋转磁场的强弱有关。
![]()
转矩T还与定子每相电压U1的平方成比例,所以当电源电压有所变动时,对转矩的影响很大。此外,转矩T还受转子电阻R2的影响。
2、在一定的电源电压U1和转子电阻R2下,电动机的转矩T与转差率n之间的关系曲线T=f(s)或转速与转矩的关系曲线n=f(T),称为电动机的机械特性曲线。
3、三个转矩:
1).额定转矩TN
额定转矩TN是异步电动机带额定负载时,转轴上的输出转矩。

2).最大转矩Tm
Tm又称为临界转矩,是电动机可能产生的最大电磁转矩。它反映了电动机的过载能力。
3).起动转矩Tst,
Tst为电动机起动初始瞬间的转矩,即n=0,s=1时的转矩。
4、电动机的负载能力自适应分析
电动机在工作时,它所产生的电磁转矩T的大小能够在一定的范围内自动调整以适应负载的变化,这种特性称为自适应负载能力。