光照变化引起半导体材料电导变化的现象称光电导效应。当光照射到半导体材料时,材料吸收光子的能量,使非传导态电子变为传导态电子,引起载流子浓度增大,因而导致材料电导率增大。
稳态光电导

本征半导体光电导效应图
半导体无光照时为暗态,此时材料具有暗电导;有光照时为亮态,此时具有亮电导。如果给半导体材料外加电压,通过的电流有暗电流与亮电流之分。亮电导与暗电导之差称为光电导,亮电流与暗电流之差称为光电流。
暗态下
Gd=σd·A/L, Id=GdU=σd·AU/L
亮态下
Gl=σl·A/L, Il=GlU=σl·AU/L
亮态与暗态之差
Gp=Gl - Gd=(σl-σd)·A/L=Δσ·A/L
Ip=Il - Id=(Gl-Gd)·U=Δσ·AU/L
A:半导体材料横截面面积
L:半导体材料长度
I:电流
U:外加电压
G:电导
σ:电导率
Δσ:光致电导率的变化量
下标d代表暗,l代表亮,p代表光。
光电导弛豫过程
光电导材料从光照开始到获得稳定的光电流是要经过一定时间的。同样光照停止后光电流也是逐渐消失的。这些现象称为弛豫过程或惰性。
对光电导体受矩形脉冲光照时,常有上升时间常数τr和下降时间常数τf来描述弛豫过程的长短。τr表示光生载流子浓度从零增长到稳态值63%时所需的时间,τf表示从停光前稳态值衰减到37%时所需的时间。

矩形脉冲光照弛豫过程图
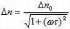
当输入光功率暗正弦规律变化时,光生载流子浓度(对应于输出光电流)与光功率频率变化的关系,是一个低通特性,说明光电导的弛豫特性限制了器件对调制频率高的光功率的响应:
Δn0:中频时非平衡载流子浓度。
ω:圆频率,ω=2πf。
τ:非平衡载流子平均寿命,在这里称时间常数。

正弦光照弛豫过程图
可见Δn随ω增加而减小,当ω=1/τ时,Δn=Δn0/
,称此时f=1/2πτ为上限截止频率或带宽。
光电增益与带宽之积为一常数,Mf=(τn/tn+τp/tp)·(1/2πτ)=(1/tn+1/tp)·(1/2π)=常数。表明材料的光电灵敏度与带宽是矛盾的:材料光电灵敏度高,则带宽窄;材料带宽宽,则光电灵敏度低。此结论对光电效应现象有普遍性。

,称此时f=1/2πτ为上限截止频率或带宽。