光学资料 / 光纤通讯 / 光通讯基础理论 / 液晶技术在光通信中的应用
液晶技术在光通信中的应用
液晶技术在光通信中的应用


武汉光迅科技有限责任公司

  摘 要:本文首先对液晶技术在光通信领域上的应用从技术角度进行分类,并对各类产品从技术实现和商用情况上进行详细的讨论和说明,通过原理结构的比较,分析液晶技术在系统应用中和商用化上的程度。另外,新的最前沿的相关技术也在不断的开发当中,液晶这项技术将逐步成为光通信领域的主流技术平台。

  关键词:液晶 光通信 动态可调

前 言

  随着光通信的不断高速发展,系统对光器件的性能要求越来越趋于多样化,液晶以本身特有的特点在众多新技术中存活下来并不断的成熟,目前,国外很多公司基于液晶的技术平台开发推出了一系列的动态可调的商用新产品。液晶技术有着自身很明显的优点:小体积的阵列集成,大的电光系数,很低的电压驱动,低功耗,现有技术成熟,制作成本低,无运动部件的实现动态调节。

  从目前较成熟的技术应用上分类,液晶器件主要可以分为波长无关的光功率控制器件、波长相关的光功率控制器件及偏振控制器件三大类。下面我们分别进行讨论。

波长无关的光功率控制器件



  这类器件包括:通常意义上的光可变衰减器(VOA)、光功率分配器(Tunable splitter)、光开关(OS)等。这类器件很大程度是基于液晶对光的偏振态进行调制,再通过检偏装置最终实现光功率的控制。图1为此种器件的基本原理图,很显然,与显示技术领域的原理是一致的,都是液晶调制器对通过起偏装置后两组线偏振光的偏振态进行调制,然后再经过检偏装置,把调制后的偏振光进行偏振重组,最后得到所需要的光功率输出。基于这个结构原理,可以通过构建不同的偏振装置与相应的液晶调制器配合,得到需要的性能参数。目前,国外对液晶VOA的开发已经很成熟了,多家公司都能提供这种产品,例如:Chorum、Lightwave 2020、Spectra switch、CoAdna Photonics等。国内相关开发最早的是武汉邮科院,早在上世纪80年代末期就开始了相关的研究,经过长期的积累,此类产品已达到国外的先进商用水平,并把这种产品成功应用到Configurable Optical Add/drop Multiplexer(COADM)、VOA+MUX(VMUX)等设计中。图2中,a为COADM的设计方案,b为VMUX后再加一个合波器组成的光功率均衡设计方案,VOA、OS都是DWDM系统中的关键器件。Tunable splitter则是实现一种动态可调光耦合器的效果,取代目前的静态耦合器,为光网络的进一步拓展和维护提供光功率重新分配,这对发展FTTH和CATV有重要的意义。



  对于偏振态不确定的光系统,光器件必须要做到偏振无关的光学性能,但是,有些时候由于系统中光偏振态稳定性,偏振相关的液晶光器件也就有其特殊的用武之地。并且,由于不需要起偏装置,器件的体积、集成度和成本上都大大降低。这类器件主要用于激光器前,或者与激光器进行集成。图3为集成了偏振相关液晶VOA(PVOA)的激光器结构示意图。



波长相关的光功率控制器件

  这类器件包括:动态增益斜率补偿器(DGT)、动态增益均衡器(DGE)、光可调滤波器(OTF)等。

  DGT主要对长途干线光系统中,由于多个EDFA级连在终端产生一个光功率随波长变化的斜率,为了提高接收端的灵敏度,需要把这个斜率进行补偿。而采用液晶+晶体波片的结构很容易实现动态调节,达到补偿的最佳效果。4为光路结构图,图5为建模计算结果。基本原理仍然是对光的偏振态进行调制,所不同的是,图4中的晶体波片把光按照波长不同,对偏振态再进行一次调制,使得最终产生波长相关的斜率补偿,通过调节液晶上的电压值,从而可以改变调节的斜率,图5为在改变液晶驱动电压值的情况下调节的效果图。



  DGE则是把随意的光信号功率进行均衡化的一种器件。市面上MEMS技术和液晶技术平台是主流技术,都有商用化的产品,而以液晶为技术平台的DGE方案又分为包络型和通道型两种。包络型的理论依据为光谱信号的分解,通过多级的传递函数结构最后实现光功率的均衡控制,这种方案的优点为成本较低,缺点为均衡效果不如通道型的理想,并且控制比较复杂。通道型的原理则是把光按照波长分开,然后分别进行光功率控制,最后再均衡后的光合上。这种方案的优点为原理简单,均衡效果较好,缺点为成本较高。图6、图7分别为包络型和通道型的典型结构原理图。从应用和成本上考虑,通道型结构在集成光性能监控器(OPM)方面有其特有的优势。



  利用液晶技术做可调滤波器目前还不成熟,离商用化产品阶段有一段距离,但是,国外很多机构仍然在做相关方面的研究。


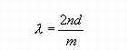
  图8所示为利用液晶可调F-P腔原理进行设计的TF结构。图中两个反射面平行,这样中间的液晶层就形成一个F-P腔,根据形成干涉的条件,有

  式中, λ为调谐波长, n为液晶的折射率, d为两高反面形成的腔长, m为正整数。其他形式的可调F-P腔一般都是通过调整腔长 来实现干涉波长的调节,而液晶的可调F-P则是通过调节液晶的折射率 来改变实际光程,从而达到调节干涉波长的目的。这样的F-P腔可以实现1.5µm-2.3µm将近80nm 的调节范围。但是其精细度等指标离DWDM系统实际应用要求还有距离。

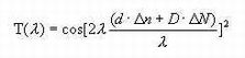
  图9所示为另一种原理的液晶OTF,这种OTF是根据Lyot滤波器的原理实现的。由琼斯矩阵可以得到每一级的光谱曲线为:

  式中, λ为波长, d为液晶层的厚度, Δn为所选液晶材料的双折射率差, D为晶体波片的厚度, ΔN为晶体波片的厚度。多级级连后得到较窄的波长通带,然后通过改变液晶的驱动电压得到动态调节的滤波性能。



偏振控制器件

  在光通信领域,液晶还可用做成偏振控制器件,作为PMD补偿系统的重要组成部分。图10为液晶偏振控制器的控制原理框图。这样可以实现较低电压控制,功耗较小,不过有一定的插入损耗(>1dB),响应时间不够快,普通的液晶材料只能实现ms量级的响应速度,除非应用铁电或反铁电液晶材料才能实现µs量级的响应速度。



展 望

  国外的各大公司如JDSU、Avanex等都相继推出了基于该技术平台的商用化产品。国内武汉邮科院光迅公司在光通信液晶器件方面进行着全方位的开发。另外,在驱动电路方面,AD、Maxim等集成电路芯片公司推出了为该项技术专门设计的功能芯片,如32通道集成14位DAC芯片AD5532、32:1的电子切换开关ADG731、16位的ADC芯片(0-5V 1MSPS)AD7671、低电压模拟开关MAX4528等。

  液晶在响应速度上在ms量级,采用高速响应的铁电或反铁电液晶可以进一步提高响应速度到µs量级,目前铁电和反铁电液晶技术距商用化还有一段距离,其技术瓶颈不在铁电或反铁电液晶聚合的材料制备上,而是在成屏的质量上,很低的成品率使得成本价格高昂,在市面上个别厂家能够提供少量的这类产品。随着技术不断完善和应用,液晶将成为光通信领域中光器件的一种主流技术。

参考资料:

[1] 谢毓章, 液晶物理学,科学出版社

[2] Iam-Choon Khoo,Shin-Tson Wu, OPTICS AND NONLINEAR OPTICALS OF LIQUID CRYSTALS

[3] Ming Xu,Dalls,Tx(US), Tizhi Huang, Plano, Tx(US) etc, Dynamic gain equalizer for optical amplifiers , US Patent Pub.NO.:US2002/0093725 A1.Pub.Date:Jul.18,2002

[4] 林学煌等,光无源器件,人民邮电出版社

[5] 赵凯华,钟锡华,光学,北京大学出版社