1.1 实验设备简介
本实验是利用来测量三分支联接的流场速度,它是激光多普勒测速仪(LDA)的扩展,可用来测量粒子的速度、直径、浓度等参数。3D-PDA测试系统如图1所示。

1.2 散射粒子的选择
由激光测速原理可知,粒子动态分析仪(PDA)测量的并不是流体的真正速度,而是悬浮于流体内的示踪粒子的运动速度。由于流体分子的散射光很弱,得不到足够的光强,因此利用粒子动态分析仪(PDA)进行测速的先决条件是需要在气流中添加适当浓度和粒径的示踪粒子,即散射粒子。这样,散射粒子对流体的跟随性是测量可靠性的关键,也是影响测量精度的重要因素〔1〕。
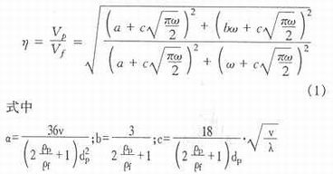
从单个粒子在流体中的运动要满足Basset-Boussinesq-Oseen(简称BBO)方程出发。通过傅立叶积分求解BBO方程后,可得到散射粒子的运动速度Vp和流体速度Vf的比值:

dp为散射粒子直径;ρp为散射粒子密度;ρf为流体密度;v为流体运动粘性;ω为湍流脉动角频率。
该比值表征了散射粒子跟随流体的速度。若η=1,表示散射粒子完全跟随流体;η<1,表示散射粒子滞后;η>1,表示散射粒子导前。
由(1)式可知,影响散射粒子跟随性的关键是散射粒直径dp、湍流角频率ω及散射粒子和流体密度比ρp/ρf。一般来说,散射粒子直径dp越小,散射粒子和流体密度比ρp/ρf越小,湍流角频率ω越小,散射粒子跟随性越好。测量象三分支联接这样存在回流区的流场时应尽可能选择直径小、密度低、折射率大的粒子作为散射粒子。而且粒子散播的浓度要合适〔2〕。实验中,曾用DANTEC公司的粒子发生器(型号为55L18)从支管入口喷入硅油溶剂作为散射粒子,发现硅油溶剂在总管内壁表面容易凝结成小珠,影响光的穿透性。在测量总管截面中间位置(没有回流区的位置)时,其速度分布直方图中速度是发散的,表明散射粒子跟随性较差。实际上,由(1)式计算,要使散射粒子跟随性达到99%,散射粒子直径dp必须小于0.8μm,这对粒子发生器所产生的硅油溶剂来说很难达到。故在实验中放弃了用粒子发生器来产生散射粒子。
按以往的经验,使用蚊香烟雾作为散射粒子,因为此时ρp/ρf很小,散射粒子直径dp也很小。虽然烟雾的光学特性不如雾滴,但在实验中发现激光光源能得到足够清晰的信号,并能保证一定的信号率。使用蚊香烟雾作为散射粒子有两个缺点。第一个缺点是浓度不易控制,影响测量效率。浓度太大反而使信噪比下降;浓度太低,则产生信号脱落或信号率不足。第二个缺点是烟雾很容易污染窗口。一般来说,测量了三、四个点的速度后,须清选一次窗口。
实验时测得的是单个散射粒子通过测点的瞬态速度,要得到流场测点的平均速度,必须对N个离散的采样粒子速度进行统计处理。所有的统计信息都包含在速度概率密度分布φ(U)中。定义φ(u)dU为(U,U+dU)范围内的速率概率,把速度分成几小段,给出每小段速度的粒子百分数,就可以生成图2所示的速度概率密度分布直方图。由此可求得相关统计量〔3〕:


(5)湍流密度(Turb):T=σ/U×100
这里把样本均值和样本均方根分别作为测点速度的平均值和湍流度。样本偏度和样本峰度的理想值分别为0和3。图2为测得的如图3所示的总管1-1截面上某点X方向的速度分布直方图,表明测量的速度具有良好的统计特征,测量结果有较高的精度和可靠性,所选择的散射粒子是合适的。
2 实验研究
2.1 实验件设计
其具体结构见图1,沿总管轴线测量了5个截面,每个截面测量了9×9个点的三维。另外,还测量了支管入口处的速度,为将来验证计算程序提供必要的边界条件。
需要说明的是,为了保证测得的支管入口速度较稳定,测点到支管实际入口处有6D(D为支管的水力直径)的距离,这也是为了在测点能实现测量。总管的出口至第五个测量截面也保证了同样的轴线距离。
2.2 实验结果与分析
图4a所示为在三分支联接对称平面内五个截面上沿着总管轴线的速度分布。由1-1截面上的轴向速度分布可看到,气流从支管进入总管后撞击总管壁面在封闭端所引起的回流。而从3-3截面可见气流从支管进入总管时由于气流折转在支管下游总管壁面处所产生的回流,由图还可看出,轴向速度体现了管内粘性流动的发展趋势。图4b为在垂直于总管轴线上五个横截面所测得的速度矢量图。虽然由于加工及测量误差,速度对称性不是很理想,然而从2-2截面和3-3截面的速度矢量图,仍可看出气流从支管进入总管撞击总管壁面后由于截面扩张所诱发的二次流〔4〕。随着气流往下游方向流动,二次流渐渐变弱,甚至消失。气流在总管横截面上的速度也随着气流往下游方向流动而变小,这时主要只有沿着总管轴线方向的速度。测得支管入口处气流平均速度为47.4 m/s,相应的雷诺数为Re=1.4×105


4 结束语
从测得的矩形截面三分支联接的三维速度分布看,气流从支管进入后,在总管封闭端产生了回流,以及在支管下游总管壁面处也产生了回流。测量结果还表明了气流从支管进入总管后在支管下游由于截面扩张在总管横截面上所引起的二次流,并且随着气流远离支管,二次流现象消失,沿着总管轴线方向的气流速度占主导地位。