目前,燃煤电厂存煤的测量一般采用人工计量方法,即先用推土机对煤场进行整形,使其外观形体近似于梯形,再用经纬仪和米尺进行人工丈量,根据经验,简单计算或估算。这种方法,不仅耗费大量工时和人力,而且计量也不准确,严重制约了企业的现代化管理。因此迫切要求一种可以代替人工、省时省力、计量快速准确的装置测出煤场存煤量。由此,针对大型煤场,研制了便携式激光盘煤系统。该系统由激光测距仪、地图星和掌上电脑组成,激光测距仪用于对煤场进行扫描测量,地图星用于激光测距和传输数据,掌上电脑用于存储数据。扫描完成后,由计算机拟合煤堆表面形状,从而快速、准确地测出煤场的存煤量。
1 现场快速盘煤装置概况
某电厂已应用了自动盘煤装置,其机械扫描系统如图1所示,它由场地取料机、装在取料机固定梁上的单轨和悬挂在单轨上运行的小车组成。当取料机沿煤场两侧铺设的钢轨匀速做纵向运行时,小车在单轨上做横向往复运动,当取料机从煤场一端运行到另一端时,装在车上的光电探测系统就对整个煤场进行了二维扫描,实现对整个煤场煤堆表面各点高度的检测。

还有一种超声波测距煤场储量自动计量测绘系统,测距传感器安装在龙门吊的小车上,借助龙门吊上小车的行走对煤场平面进行扫描,完成数据采集,并通过计算机实现储量计算和图形绘制。
使用这2种盘煤装置的必要条件是煤场上已安装有龙门吊或堆式取料机,否则这两种装置难以使用。但是若要为此而专门修建龙门吊则需大量投资,很不经济。
固定式图象测量系统需要将盘煤装置安装在固定的高塔架构上,精密仪器长期暴露在恶劣的自然环境中,精度下降得很快,而且高塔架构不利于维修人员上下,投资较大。
便携式激光盘煤仪以手持的激光测距仪替代塔式的激光器―――摄像机转台,以人工选点测量替代转台自动扫描,得到包含曲面特征的三维散乱数据点集。最后,把包含有散乱点集的数据文件传入电脑中,由相应的软件部分完成曲面的拟合与体积计算部分。该系统克服了上述2种系统的弊端。用5号电池供电,整体重量仅2.5
kg。
2 便携式激光盘煤系统的构成
便携式激光测距仪系统流程如图2所示。

激光测距仪用于采集数据,采集到的数据信息包括被采集点相对于采集位置的坐标(x,y,z),这个坐标是相对坐标,采集位置的坐标为(x0,y0,z0),则被采集点的绝对坐标为(x+x0,y+y0,z+z0)。数据采集还包括对采集到的数据的滤波和校验,滤掉无效数据和没有用到的数据信息,确保有效数据的准确性。数据合成指的是对不同采集位置采集到的数据进行相对坐标与绝对坐标之间的转换处理,使得所有采集点在同一个坐标系内。
三维可视化指的是对三维散乱数据进行可视化处理,先对散乱数据进行插值。经过插值运算后,得到的俯视图是在x,y平面内均匀分布的点,立体图则为煤场的三维网格图,得到三维网格图之后便可很容易的计算体积了。插值点之间的间隔可由操作人员任意设置,但是其间隔不应太大,太大影响体积计算的精度;也不可太小,太小影响计算速度。
图像拼接技术实现的是将数码相机拍摄到的煤场的部分图像拼接成一大张煤场的全景图。图像处理包括滤波,灰度化处理,边缘检测和曲线平滑处理。三维网格的修正以检测出的边缘检测曲线为依据,修改网格图中的边缘点,网格图的边缘点被修改后,部分相应的其它的点会被相应的处理。
为了便于斗轮机取煤和卸煤的方便,煤场一般都建成长而且很窄的长方形,煤会被堆放成横截面为中间高两边低的三角形,或中间是平面的梯形,有时被斗轮机取走一部分煤后,其形状就像在三角形的腰部切掉一块。其形状如图3所示。

无论是那一种情况,其最高点只有一点,而且,三角形的最高点一般在煤场的中间位置,那么,在水平方向拍到的图像经边缘检测后得到的边缘曲线就是所有最高点连成的曲线。根据这一特点,可以将煤场沿长边从中间一分为二。修改时在平视图中放置所拍图片的边缘曲线,每修改一个平视图中的点,俯视图中在同一列上的所有点都得到修改,这样减小了三角形或梯形煤堆图形拟合时的误差。对于煤堆的第3种情况修改时采用折中的办法,当所拍图片能看到最高点时,修改时以最高点为依据;当看不到最高点,只看到被挖掉一部分后的煤堆的边时修改时要略高于边缘检测曲线,这样就尽量的减小了误差,见图4。

体积计算采用积分的方法,经插值计算后煤堆被均匀的划分成了若干个小立方体,将所有的立方体的体积的加起来便是煤堆的体积。
3 系统的理论依据
3.1 散乱数据的插值
散乱数据指的是在二维平面上或三维空间中,无规则的随机分布的数据。散乱数据的可视化是指对散乱数据进行插值或拟合,形成曲线或曲面并用图形或图像表现出来的技术。用激光测得的数据是三维的散乱数据,散乱数据不能直接用于图形拟合,为了能够进行图形拟合和体积计算,需要对散乱数据进行插值运算。
早在20世纪60年代,散乱数据的插值问题就已引起人们的注意。近30
a来,已经有多种算法被提了出来。但是,没有一种算法适用于所有场合。而且大多数算法只能适用于具有中小规模数据量的散乱点插值问题。大规模散乱数据(1
000个点以上)的插值问题还正在研究之中。
中小规模散乱数据的插值方法主要有2种。
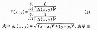
3.1.1 与距离成反比的加权方法
这一方法首先是由气象学及地质学工作者提出来的,被称为Shepard方法。其基本思想是将插值函数定义为n个数据点函数值的加权平均,即
(x,y)点到(xk,yk)点的距离。μ值一般取2。
这是一种与距离成反比的加权方法。点(xk,yk)的值fk对F(x,y)的影响与(xk,yk)至(x,y)的距离成反比。
3.1.2 径向基函数插值法
基函数是由单个变量构成的,一个点(x,y)的这种基函数的形式往往是hk(x,y)=h(dk),这里的dk表示由点(x,y)至第k个数据点的距离。一般说来,这种方法不具有多项式精度,但只要稍加改进,就可获得具有多项式精度的插值公式:
式(3)中的n个方程满足了插值要求,而式(4)中的m个方程则保证了多项式精度。2式中共有m+n个未知数,同时存在m+n个方程式,联立求解,即可得出待定系数。
3.1.3 限元方法
在给出具有双自变量的散乱数据点vi(xi,yi)及其函数zi=f(xi,yi)(i=1,2,…,n)以后,首先求出二维平面上散乱点的vi凸包,并对其进行三角剖分,形成一系列的三角形Tj,k,l(j,k,l∈i)。然后构造一系列的面片,使其插值于所有pi点的函数值zi。主要有:Clough-Tocher插值法、Herron插值法、最小模网络法(MNN法),这里不再祥述。
3.2 图像拼接
拍摄的2幅相邻图像上有相重叠的部分,只要判断出这2幅图像的重叠位置并实行相似判形就可以实现2图像的拼接,在图5中,假设图像1和图像2是相邻的2幅图像。原始图像中的圆形是所拍摄图像的重叠部分。只要判断出两个原始图像中的同一个圆,就可以将两幅图像拼接起来。当然上述的圆形只是举个例子,实际上可以是任意图像(只要不是纯色)。

这样就可以将图像拼接归结为:在2个有重叠部分的图像的重叠区区域内各采集下一个样本图像块,2个样本图像块为原始图像中的同一图案,如图中的2个样本块A、B块。图中A块一定要包含B块且明显大于B块,只要测定出B块在A块中的位置,就可完成2个图像的拼接。
如何测算出B块图像是A块图像的哪一个组成部分,也就是如何判断出A块中大小与B块相同的哪块图像是与B块最相似的问题。下面从色度学的角度谈谈两个色块相似性的判断。在颜色理论中有很多描述色度空间的方法。常用的有RGB、HSV等方法。现在计算机中的图像大部分采用RGB法描述。比如,RGB色度空间中有2个颜色M(R0、G0,B0)、N(R1,G1,B1),若这2个颜色在RGB空间里的距离越小,2个颜色就越接近。
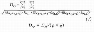
M、N2颜色RGB空间距离为![]()
此处,D越小,M与N的颜色就越相似,当D=0时,就说明M和N是2个相同的颜色。如果2个色块的每一点都进行比较计算、并求出所有点的D平均值。平均值越小就表明两个色块的图案越相似。因为A块、B块是具有重叠部分的2幅图像,而A块包含B块.故在A块中一定能寻找到一块大小与B块相同的一块图像,其与B块计算出的D平均值为最小。例如,假设A块图像有i×j个点,B块有p×q个点。
根据上式求出Dxy为最小的(x,y)点,此点即为与B块图形最相近的位置点。这样就找到了A块中包含的与B块图案最接近的位置,也就是2图案相重叠的位置。
3.3 边缘检测
边缘是图像的最主要特征,它的提取是图像分割、目标区域的识别、区域形状提取等图像分析领域十分重要的基础。图像理解和分析的第一步往往就是边缘检测,目前它已成为机器视觉研究领域最活跃的课题之一,在工程应用中占有十分重要的地位。所谓边缘就是指图像局部亮度变化最显著的部分,它是检测图像局部变化、显著变化的最基本的运算。典型的边缘提取方法分成以下3个步骤:
a.求出原始图像横向和纵向的梯度图像;
b.根据2个方向的梯度得到模值和幅角值;
c.沿幅角方向求模极大值,获得所需边缘。
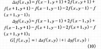
现在有很多传统的计算方法,如Canny算子和Sobel算子、Roberts交叉算子和拉普拉斯算子等。对于数字图像,图像灰度灰度值的显著变化可以用梯度来表示,以边缘检测Sobel算子为例来讲述数字图像处理中边缘检测的实现。
对于数字图像,可以用一阶差分代替一阶微分。
Sobel梯度算子是先做成加权平均,再微分,然后求梯度,即:
图6(b)给出的是依据图像处理算法得到的经过图像灰度化、高通滤波、Sobel边缘算子处理后的结果。
4 实测数据
对于煤场盘煤,测量体积的精度主要反映在重复性这个性能指标上。在实际应用中,用户最为关心的也是重复性问题:重复性越好说明测量越准确,精度越高。现场的大量实验表明该系统重复测量的精度很高。其中4次的实测结果分析见表1。

