具备了C语言知识,很容易就能编一个程序,让转起来。

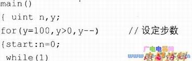
只要在程序中再加入步数控制,通过反复调用,就可以控制小车做精密的动作了。像这样:



这里郝文用了一个无条件的转向语句——goto语句。goto和if语句构成一个循环结构。意思是如果zheng[n]==O×OO成立,则程序跳回到goto后的标号start所标识的语句处,继续执行下面的语句。前面的语句Start后面带了一个冒号,是标识符。goto语句常见的用法是用它来跳出多重循环,不过它只能从内层循环跳到外层循环,不能从外层循环跳到内层循环。实际编写程序时,大多数程序员都不喜欢用goto语句,这是因为过多的使用它时会程序结构不清晰,过多的跳转就使程序又回到了汇编的编程风格,失去了C语言模块化的优点。
除此之外,在一个循环程序中,不但可以通过循环语句中的表达式来控制循环程序是否结束,还可以通过break语句强行退出循环结构,另外还有continue语句。它的作用是结束本次循环,跳过循环体中没有执行的语句,跳转到下一次循环,接着进行下一次是否执行循环的判定。
Continue和break语句有所不同,Continue执行后不是跳出循环,而是跳到循环的开始并执行下一次的循环。continue语句只结束本次循环,而不是终止整个循环的执行;而break语句则是结束整个循环过程,不会再去判断循环条件是否满足。