实际的交流通常是由、、复合而成,即既有(因导体是有的)又有(比如两根彼此绝缘的导体之间就构成,当通入交流电时,就存在容抗)、还有(即使是直导线在交流电较高时,其感抗也不能忽略)。那么对某一交流电路而言,对交流电的实际阻碍作用是什么?又如何计算呢?物理学中已规定:交流电路中电阻、容抗和感抗对交流电总的阻碍作用称为“”,用字母“Z”表示。
其大小不是三者简单相加,而是它们的矢量和。
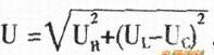
假定电阻、电容、三者串联(见上图),由电工学知识知道:流过电阻上与是同向的,即没有;而流过电容上的电流比电压超前90°(假定逆时钟时针为超前),流过电感线圈上电流比电压滞后90°,则它们就有如下图所示的矢量关系(假设电感线圈上UL大于电容两端电压U。),由下图可知:电路两端总电压
由欧姆定律
可求得该串联电路的阻抗为Z=
因此,一般交流电路的阻抗是大于其直流电阻的(除非XL恰好等于Xc),比如我们常见的后面的铭牌上就注有阻抗8Ω或16Ω字样,但如果测它的直流电阻你就可以发现小于8Ω或16Ω。
还有,如果测交流电动机(比如电风扇、压缩机等)的直流电阻,会发现只有几十欧(甚至更小).但它们却可以接在220V,甚至更高电压下工作,由此可见,它们的阻抗是很大的。最后必须强调的是:阻抗对于某一频率变化的交流电路来说是一个变化的值,但电阻是不变的,至于某交流电路在某一频率下的阻抗.可直接用该电路两路的电压除以电路通过的电流求得。

