有关什么是系统振荡,和发生振荡时,系统中各点的,,相角变化规律以及振荡对不同地点距离保护的影响的问题在《技术问答》上有详细的讲解,这里只对南瑞公司保护的开放闭锁元件的四个判据作详细的分析。
在系统发生振荡时,应该由手动或自动减少发电机机端出力和有选择性的切除负荷,不应由保护无选择的任意解列系统。因此,对有可能出现电网振荡的保护必须加装振荡闭锁元件。
正常运行时,振荡闭锁元件一直是投入的,它闭锁了距离保护等的动作,在网络异常时,保护会启动,该元件必须立刻判断出异常是什么原因造成的。如果是系统振荡,则该元件继续投入,如果是故障,该闭锁元件应立刻开放。下面就讲南瑞保护区别振荡和故障用的四个判据。
一、保护启动瞬间开放160ms.
即使是保护由于系统振荡的原因而启动,系统两侧电势由正常功角θ摆至振荡中心角180°的时间也远大于200ms。这样振荡的轨迹还没有进入动作区间闭锁元件就已经复归。

如图3.21,正常运行在A点,振荡时振荡轨迹是从A点到B点(θ由θ1到θ2)的时间远远超过160ms。轨迹在这个时间内不能
进入保护动作区。此时若是故障引起的保护启动,闭锁元件已经开放,保护可以动作。所以这个判据在系统振荡时候不会误动,在故障时候不会拒动。该判据只在启动瞬间开放160ms,之后就永久闭锁(保护整组复归时才复归),即使是在系统振荡时候再有故障也不开放,这就需要其他判据。
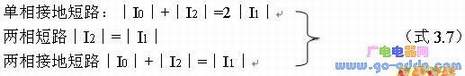
二、不对称故障开放元件
不对称故障时的开放判据:∣I0∣+∣I2∣>m∣I1∣ (式3.6)
系统振荡时,I0、I2接近于零,该判据不满足。
不对称故障时,根据对称分量法作出复合序网图,可以得到短路点各序电流的关系:

考虑到两端电网分支系数的影响,在式3.6中m取0.6,很好的满足式3.7。
三、对称故障开放判据 Uos=Ucosφ
在保护启动160ms后再发生三相对称短路,以上的判据都不能满足,所以需要新的判据,即采用振荡中心的电压Uos(图3.22)的大小作为判据。

无论系统是正常运行还是振荡,∣OM∣都是M点母U,Ucosφ都反应了振荡中心点S的正序电压∣OS∣。三相短路一般都是弧光短路,弧光压降小于0.05U。此时分析振荡中心在最不利的情况下,如何用延时来躲过振荡轨迹处于区内的问题。
该判据又分两部分:
(1)-0.03U<Uos<0.08U,延时150ms开放。
cosφ1=0.08 , φ1=85.5°系统角171°
cosφ2=-0.03 , φ2=91.7°系统角183.5°
图3.23给出了此时振荡的轨迹图。从φ1到φ2变化了6.2°,整个振荡φ变化是180°以最大振荡周期3〞计算,振荡周期在这个区间内停留的时间是104ms,取延时150ms闭锁开放,即使该区域是保护动作区保护也能躲过振荡轨迹。

(2)-0.1U<Uos<0.25U,延时500ms开放
该判据作为(1)判据的后备分析的道理和(1)完全一致。
以上的判据在Uos很小时候,就能很好的用延时来躲避可能是振荡原因引起的低压。从而保证保护不会误动。
如何更好的理解(1)、(2)两个判据的关系,如图3.24振荡轨迹是由A到B到C到D的单向运动,进入A点即(2)判据开始工作,接着进入B点,(1)判据也开始 ,如果是故障进入B点后150ms后(1)判据动作,如果是振荡或者故障条件不满足(1)的判据,轨迹继续进入C点,如果是故障,在进入A点开始后的500ms时(2)判据动作。如果是振荡,则进入D点继续运行。
以上的分析都是基于线路角为90°状态下。在南瑞技术书上提到如果线路阻抗角不为90°时,φ角需要补偿,这里解释一下补偿的原因。
三相短路时,M点测得的电压实际上是一个呈性质的线路压降与一个纯性质的弧光压降,一次系统图如图3.25

可见,U1与U2相加就是母线电压U,结合图2.26,如果R不是纯性质,则U1与U2之间的角度不再是90°而是线路的阻抗角δ,因此Ucosφ也不再是弧光电阻U2,作一个矢量U3,让U3⊥U2,则θ =90° δ ,Ucos(φ+θ)=U3 , U3﹤U2,U3是振荡中心的电压,U2是弧光电压,当然用U3来代替U2把Ucosφ的范围缩小了,判据仍然有效,不会造成振荡时保护误动。θ就是补偿角。在运行中,U和φ是保护采集量,δ是整定值,所以U3的大小能够计算出来,说明这个判据也是实用的。
另外从图3.26可以分析出,当线路阻抗角为90°时,A、B、C三点合一,即δ=90°,则θ=0°,不需要补偿,这和前面讲的公式是一致的。
四、非全相时的振荡判据
分相操作电网系统中,还要考虑非全相运行的情况。由于是非全相运行,选相元件会一直选中断开相,此时系统振荡不会误动,若此时健全相再故障,选相元件就会选中故障相,因此可以用选相元件在不在断开相来开放闭锁元件。
另外,也可以采用测量健全相电流的工频变化量来判断是否开放非全相的振荡闭锁。