放大器可以实现对小信号的放大,但它有一个严重的缺陷——静态工作点不稳定。原因有多方面,主要原因在于:放大器工作一段时间后,三极管因消耗功率使内部发热,造成集电极静态变大,集电极静态电流变大又使三极管消耗更大功率,结温升得更高。造成恶性循环使工作点偏离最佳点,工作甚至于完全不能工作。另外基本放大不是实用的电路,每更换一只因β不同,都要调整工作点,不适用于工业生产。
下图是典型的晶体管放大电路,它能自动调节静态工作点,保证静态工作电流Q的稳定。

为什么它能自动调节静态工作点,保证静态工作电流的稳定呢?我们作一个简要的解释。
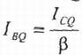
先看看放大器的偏置电路是如何工作的。请看下图(a),在直流V的作用下,有电流I1流过Rb1,到达B点后电流I1分为两路:
一路是流过Rb2的电流I2,另一路是就是基极的静态电流IBQ。基极静态电流IBQ值是很小的,一般只有几十微安。如果我们选择合适的Rb1和Rb2,使电流大于基极静态电流IBQ十倍乃至几十倍,那么IBQ相比于I1就可以忽略不计。也就是说,在这一前提下,可以认为I1和I2是相等的,因此基极B点的直流电位是由Rb1和Rb2的分压来决定的,即

只要Rb1和Rb2是确定的,基极B点的直流电位化而出现变化。
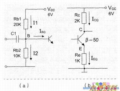
再看下图(b),因为基极的静态电流IBQ已经确定,所以馥静态集电极电流IcQ和发射极电流IEQ,而且![]()

相比于ICQ,IBQ的影响可以忽略,所以通常在分析放大器时都认为IcQ≈IEQ。

如果放大器在工作过程中因为某种原因使得静态电流IcQ增大或减小,那么IEQ必定也随之增大或减小。而发射极E点的电位VE是随IEQ而变化的,即
所以,集电极(或发射极)静态工作电流的变化会直接表现为发射极E点电位VE的变化。
假设由于某种原因使静态电流ICQ变大,则IEQ也随之变大,因此发射极直流电位VK就会上升:
但是基极的直流电位VB是稳定不变的,所以VE的上升就使得发射结正向偏压VBE变小,从而使IBQ变小。又因为ICQ=βIBQ,所以ICQ也会随之变小,这就是自动调整的过程。
![]()
如果因为某种原因使静态电流ICQ变小,自动调整的过程如下,稳定ICQ的道理是相同的。
![]()
所以这种放大器的静态工作点很稳定,它能够随ICQ的变化自动实现反向调节,ICQ保持的稳定。这种偏置电路称为“分压式偏置电路”,实用的放大器都采用这种偏置方式。
采用这种方式的偏置电路必须注意的是:
Rbl、Rb2的取值不可太大,必须保证通过Rb1、Rb2的电流大大于基极静态电流IBQ。同Re的取值也要讲究,虽然从理论上说Re越大,静态工作点越稳定,但Re太大会使放大器的变小,所以一般以
为宜。
请注意发射极Re旁边并接有一个C3,这一是不能少的,目的是为交流信号提供一条通道,使信号不会在发射极Re上形成负反馈。电容C3通常称作信号的“旁路电容”。