当信号尚未接入时,三极管三个电极的、状态称作静态,也叫“静态工作点”。一般只需求出集电极电流和集一射之间的电压值即可。
需要放大的信号输入后,是叠加在静态工作点之上的,使静态电流和电压出现“变化”或“波动”,我们就称它为“动态”。要了解放大器的工作原理,就要先了解静态,再了解动态。下面以图6为例来简要解释放大器是如何实现电压放大的。
静态:
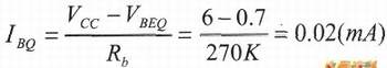
如下图,假设三极管是硅材料管,而且电流放大系数已经确定(p=50),使用6V直流供电。

从图中可以看出,发射极电位是参考电位,所以UE=0伏。此时基一射之间的电压.即发射结的正向偏压是VBEQ,在介绍PN结特性时已经讲过,对于硅材料三极管来说,这个偏压值大约在0.7伏左右。所以基极电流IBQ就被确定了,它等于流过偏置Rb的电流,即

基极电流一旦确定,集电极电流也就被确定了,它总是等于基极电流的β倍。
![]()
同时,集一射之间的直流电压VCEQ也就可以由计算而得出:
![]()
若画出三极管基极、集电极的静态电流和集一射间静态电压波形,它们都是确定的直流量,波形都是一条水平线,如下图所示。

动态:
加入信号后,放大器各关键点的电压、电流值会发生相应变化,这种变化就是“动态”,它是叠加在静态之上的。
设输入信号是一微弱的正弦电压,如下图(a)所示。信号通过C1送到三极管的基极,使基极电位VB发生变化,即在原来VBEQ的基础上叠加了输入信号ui波形如下图(b)所示。基极电流的大小自然随着VBE的变化而出现相应的变化,其变化波形如图6-8 (c)所示。
根据三极管电流放大原理,集电极电流将随基极电流的变化而变化,而且变化的幅度是基极电流变化的β倍,如下图(d)。
变化的集电极电流流过Rc,在Rc两端将出现幅度较大的变化电压。因为直流的电压是稳定不变的,所以当Rc两端电压变大时,VCE值将变小,当Rc两端电压变小时,VCE值反而变大,因此VCE的波形变化如下图(e)所示,它与波形比较,正好是倒相的关系。
VCE的变化通过输出C2送给RL。
因为电容有“隔直通交”的功能,直流成分VCEQ被隔离,负载R,上得到的只是电压变化部分,如下图(f)所示,这正是放大器的输出电压波形。
显然,输出电压信号比起输入电压信号已经得到了放大,只是相反。这一变化过程就是放大器的电压放大过程。
