●
品书香
>
电子设备技术
>
电器电路基础
>
电源变压器的电压调整率
调整率反映了的一种外特性,它表示为
其中,UK2次级空载电压;U2次级有载时的电压。
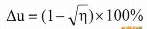
变压器的电压调整率与η有关,故也可表示为:
上一篇:
El型电源变压器的计算
下一篇:
电源变压器的效率T1
热点内容
·
数字电视 : “低音锤”高
·
取样电阻
·
数字电视帧重排
·
什么是ICD的HDMI
·
C语言do—w}lile语句的应
·
什么是无线传屏?
·
让Win7来当你的电脑和数据
·
液晶显示器TTL输出接口介
·
控制步进电机的汇编语言
·
拉幕式彩电