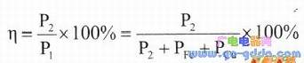
电源变压器的效率T1


  初级功率P1与次级功率P2之差为变压实际损耗的功率,它等于变压器的铁损PFc和铜损Pcu之和。变压器的效率为P2对P1的百分比,它反映了这种损耗。

 

 

  变压器的效率和变压器的功率有关,一般功率越大效率可以做得越高,它们的大致关系如下表所示。