在液晶彩电中,主要用于整流、限幅、钳位、隔离等用途。当波形经过不同作用的二极管时,会发生不同的变化,下面简要介绍波形经过整流和限幅二极管后的变化情况。
(1)波形经过整流二极管后的变化
的作用是将交流电转换成直流电,主要有半波整流、全波整流、桥式整流、倍压整流等。下图所示是半波整流及其输入/输出波形图。图中的u1是输入的交流,T是,Ll是变压器的一次线圈,L2和13是它的两个二次线圈,VD1和VD2是两只整流二极管,RL1和R12分别是两个整流电路的。由于VD1的正极接线圈L2,VD2的负极接线圈L3,所以这是两个能够输出不同极性直流电压的半波整流电路。需要说明的是,如果将图中的RL1和RL2改为两个大容量的,则U。2、U。3的波形将会变为脉冲直流电压。

上图所示是全波整流电路及其输入/输出波形图。下图所示是桥式整流电路{及其输入/输出波形图。

(2)波形经过限幅二极管后的变化
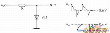
液晶彩电采用的限幅电路主要有上限幅、下限幅和双限幅电路。下图所示是上限幅电路及其输入/输出波形图。

设二极管管压降为0.6V。当输入电压Ui<0.6V时,二极管VD截止,此时输出端U。与输入端波形相同;当输入电压ui>0.6V时,二极管VD导通,输出端U。无输出。可见,输出端u。
只能得到0.6V以下的信号波形。也就是说,上限幅度为0.6V。如果二极管的负端不是接地,而是接Ve。,则上限幅度为Ve。+0.6V。
下图所示是下限幅电路及其输入/输出波形图。

设二极管管压降为0.6V。当输入电压Ui>-0.6V时(靠近OV),二极管VD截止,此时输出端u。与输入端波形相同;当输入电压Ui<-0.6V时(远离OV),二极管VD导通,输出端U。无输出。可见,输出端U。只能得到-0.6V以上的信号波形。也就是说,下限幅度为-0.6V。如果二极管的正端不是接地,而是接-V,则下限幅度为-Vcc-0.6V。
除了以上介绍的上限幅与下限幅电路外,还有一种双限幅电路,顾名思义,这种限幅电路可以对输入波形进行上、下限幅。下图所示为双限幅电路。
设二极管VD管压降为0.6V,电压Ei>E2,当输入信号Ui>Ei+0.6V时,二极管VD1导通,使输出端U。输出的信号被限定在Ei+0.6V以下;当输入信号Ui<E2+0.6V时,二极管VD2导通,使输出端U。输出的信号被限定在E2+0.6V以上,达到了双限幅的目的。
