一、的工作原理
1.热电效应
将两种不同性质的导体A,B串接成一个闭合回路,如果两接合点处的温度不同(T0≠T),则在两导体间产生热电势,并在回路中有一定大小的,这种现象称为热电效应。
闭合回路中两种导体叫热电极;
两个结点中,一个称工作端或热端(T),另一个叫参比端或冷端(T0)。
由这两种导体的组合并将温度转换成热的叫做热电偶。
热电动势是由两种导体的接触电势和单一导体的温差电动势所组成。
(1)接触电动势
不同金属导体接触,在接触表面形成一个稳定的电位差,叫做接触电动势。
大小可表示为

(2)同一导体中的温差电动势
单一导体,如果两端温度不同,在两端间会产生电动势,即单一导体的温差电动势。
温差电动势的大小可表示为

有关热电偶回路的几点结论:
热电偶必须采用两种不同的材料作为热电极。
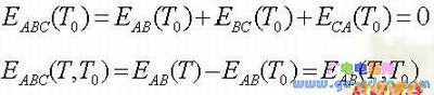
如果热电偶两结点温度相等,则尽管导体A、B的材料不同,热电偶回路内的总电动势亦为零。
热电偶AB的热电动势与A、B材料的中间温度无关,只与结点温度有关。
2.热电偶基本定律
(1)中间导体定律
如图,A,B中接入第三导体C,当A、B结点温度为T,其余结点温度为T0,且T>T0时,则回路中总热电动势为
![]()

由于在T=T0的情况下回路中总电动势为零
有
中间导体定律
在热电偶回路中接入第三种材料的导线,只要其两端的温度相等,第三导线的引入不会影响热电偶的热电动势。

参考电极定律
图中导体C接在A、B之间,形成三个热电偶组成的回路。当结点温度为T,T0时,用导体A、B组成的热电偶的热电动势等于AC热电偶和CB热电偶的热电动势的代数和。这一规律称为参考电极定律。

中间温度定律

当热电偶的两个节点温度为T,T1时,热电势为EAB(T,T1);
当热电偶的两个节点温度为T1,T0时, 热电势为EAB(T1,T0);
当热电偶的两个节点温度为T,T0时, 热电势为
![]()